Desmos SOL Warm-Up #2
star
star
star
star
star
Last updated over 3 years ago
8 questions
Required
1
When n>0, which expression is equivalent to in simplest form?
When n>0, which expression is equivalent to
in simplest form?
Required
1
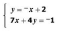
Look at the system of equations:
What is the value of x for the solution to this system of equations?
Look at the system of equations:
What is the value of x for the solution to this system of equations?
Required
1
Directions: Type an inequality in the box. Use the < or > for the inequality sign.
Solve for x:
Directions: Type an inequality in the box. Use the < or > for the inequality sign.
Solve for x:
Required
1
Which graph best models
Which graph best models
Required
1
Which inequality represents all the solutions of
Which inequality represents all the solutions of
Required
1
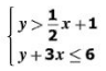
A system of inequalities is shown. From the given points, select each point that is a solution to this system of inequalities.
A system of inequalities is shown.
From the given points, select each point that is a solution to this system of inequalities.

Required
1
The graph of line n is shown.
The graph of line n is shown.
1