L72 Unit 7 Leveled Problems Review
star
star
star
star
star
Last updated over 3 years ago
26 questions

1
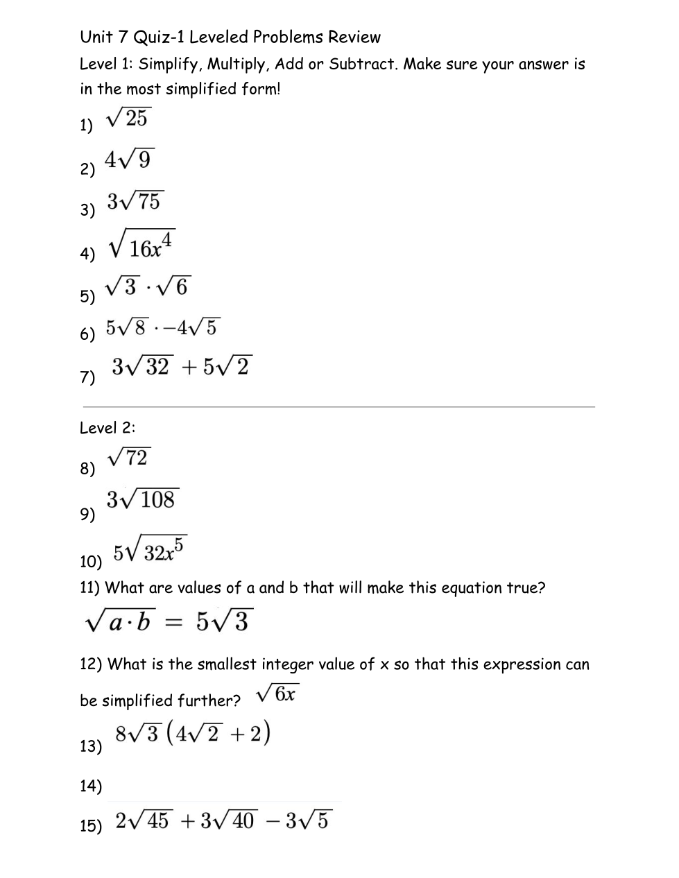
Simplify!
Simplify!
1
Simplify!
Simplify!
1
Simplify!
Simplify!
1
Simplify!
Simplify!
1
Multiply!
Multiply!
1
Multiply!
Multiply!
1
Add or subtract
Add or subtract
1
Level 2: Simplify
Level 2: Simplify
1
Level 2: Simplify
Level 2: Simplify
1
Level 2: Simplify
Level 2: Simplify
1
What values for a and b will make this equation true?
What values for a and b will make this equation true?
1
What is the smallest integer value of x so that this expression can be simplified further?
What is the smallest integer value of x so that this expression can be simplified further?
1
12 continued: Using the integer value in problem 12: What will the expression simplify to?
12 continued: Using the integer value in problem 12: What will the expression simplify to?
1
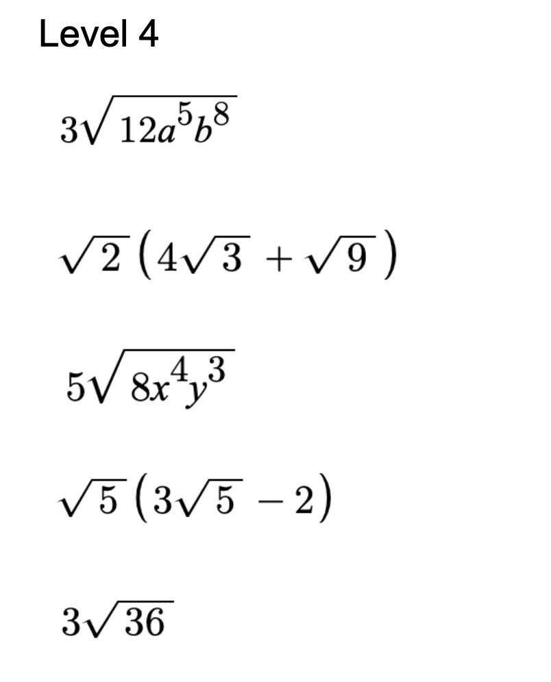
Multiply!
Multiply!
1
Add / Subtract and Simplify
Add / Subtract and Simplify

1
Simplify/Divide/Rationalize
Simplify/Divide/Rationalize
1
Simplify/Divide/Rationalize
Simplify/Divide/Rationalize
1
Simplify/Divide/Rationalize
Simplify/Divide/Rationalize
1
Simplify/Divide/Rationalize
Simplify/Divide/Rationalize
1
Simplify/Divide/Rationalize
Simplify/Divide/Rationalize
1
Simplify/Divide/Rationalize
Simplify/Divide/Rationalize

1
Simplify!
Simplify!
1
Simplify!
Simplify!
1
Simplify!
Simplify!
1
Simplify!
Simplify!
1
Simplify!
Simplify!