Log in
Sign up for FREE
arrow_back
Library
Pythagorean Theorem, Exponent Rules, & Volume
By Colleen H Hall
star
star
star
star
star
Share
share
Last updated almost 4 years ago
9 questions
Add this activity
1
1
1
1
1
1
1
1
1
Question 1
1.
Find the missing length. Round to the nearest tenth!
Question 2
2.
Find the missing length. Round to the nearest tenth!
Question 3
3.
Select the simplified response
Question 4
4.
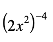
Select the simplified response
Question 5
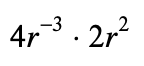
5.
Select the simplified response
Question 6
6.
Simplify WITHOUT any negative exponents
Question 7
7.
Find the volume. Round to the nearest tenth!
Question 8
8.
Find the volume. Round to the nearest tenth!
Question 9
9.
Find the volume. Round to the nearest tenth!