Log in
Sign up for FREE
arrow_back
Library

Chapter 1 Vocabulary Review

star
star
star
star
star
Last updated almost 4 years ago
55 questions
1
1
1
1
1
1
1
1
1
1
1
1
1
1
1
1
1
1
1
1
1
1
1
1
1
1
1
1
1
1
1
1
1
1
1
1
1
Question 1
1.

A statement that is accepted as true without proof is called a __________________

Question 2
2.

The three "undefined terms" in Geometry are ____________, ____________, and _______________.

Question 3
3.

Two lines intersect to form a _______________.

Question 4
4.

Two planes intersect to form a _______________.

Question 5
5.

A plane and a line intersect to form a _______________.

Question 6
6.

What is another name for segment PQ?

Question 7
7.

_______ points determine a line.

Question 8
8.

_______ points determine a plane.

Question 9
9.

A point is _______ - dimensional.

Question 10
10.

A line is _______ - dimensional.

Question 11
11.

A plane is _______ - dimensional.

Question 12
12.

Three points that lie in the same plane are called _________________.

Question 13
13.

Three points that lie on the same line are called _________________.

Question 14
14.

Question 15
15.

Draw a plane with one line lying in the plane and one line intersecting it.

Question 16
16.

Draggable itemarrow_right_altCorresponding Item
arrow_right_alt
arrow_right_alt
arrow_right_alt
arrow_right_alt
arrow_right_alt
arrow_right_alt
arrow_right_alt
arrow_right_alt
arrow_right_alt
arrow_right_alt
arrow_right_alt
arrow_right_alt
Use the angle below for the next 2 questions.
1
1
Use the angle below for the next 2 questions.
1
1
Use the diagram below for the next 2 questions.
1
1
Question 23
23.

Question 24
24.

Question 25
25.

Question 26
26.

Question 27
27.

Question 28
28.

Question 29
29.

Classify a polygon with 3 sides.

Question 30
30.

Classify a polygon with 4 sides.

Question 31
31.

Classify a polygon with 5 sides.

Question 32
32.

Classify a polygon with 6 sides.

Question 33
33.

Classify a polygon with 7 sides.

Question 34
34.

Classify a polygon with 8 sides.

Question 35
35.

Classify a polygon with 9 sides.

Question 36
36.

Classify a polygon with 10 sides.

Question 37
37.

Classify a polygon with 12 sides.

Use the polygon below for the next 2 questions.
1
Question 38
38.

Use the polygon below for the next 2 questions.
1
Question 39
39.

Use the diagram below for the next 3 questions.
1
1
1
Question 43
43.

Question 44
44.

Use the protractor diagram below for the next 3 questions.
1
1
1
For the next 4 questions, use the diagram below to describe each angle pair relationship.
1
1
1
1
Question 52
52.

Question 53
53.

Question 54
54.

Question 55
55.

Any three points are always coplanar.
True
False
Match the figure on the left with its description on the right.
Segment
Line
Ray
Opposite Rays
Adjacent
Vertical Angles
Linear Pair
Plane
Midpoint
Complementary
Point
Angle
Question 17
17.

What is the measure of this angle?

Question 18
18.

Question 19
19.

What is the measure of this angle?

Question 20
20.

Question 21
21.

\angle1 and \angle3 are ___________ angles

Question 22
22.

\angle1 and \angle2 are a ___________ pair

Tell whether the figure is a polygon. If it is, tell whether it is convex or concave.
Not a polygon
Polygon, convex
Polygon, concave
Tell whether the figure is a polygon. If it is, tell whether it is convex or concave.
Not a polygon
Polygon, convex
Polygon, concave
Tell whether the figure is a polygon. If it is, tell whether it is convex or concave.
Not a polygon
Polygon, convex
Polygon, concave
Determine if the polygon is Equiangular, Equilateral, Regular, or None of the Above.
Equiangular
Equilateral
Regular
None of the Above
Determine if the polygon is Equiangular, Equilateral, Regular, or None of the Above.
Equiangular
Equilateral
Regular
None of the Above
Determine if the polygon is Equiangular, Equilateral, Regular, or None of the Above.
Equiangular
Equilateral
Regular
None of the Above
Name the polygon, starting with the letter E
Name the polygon, starting with the letter B
Question 40
40.

Question 41
41.

Question 42
42.

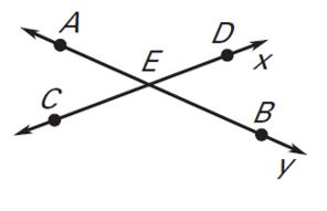
Which statement about the figure is true?
Lines x and y intersect at point A
Points A, B, and C are collinear
\overrightarrow{EC} and \overrightarrow{EB} are opposite rays
Another name for \overrightarrow{AE} is \overrightarrow{AB}
What is the intersection of Plane HGY and Plane HFX?
\overline{YZ}
\overline{HZ}
Point H
Plane EFH
Question 45
45.

Question 46
46.

Question 47
47.

Question 48
48.

Question 49
49.

Question 50
50.

Question 51
51.

Which describes the following polygon?
Equilateral
Equiangular
Regular
None of these
Which of the following is a convex polygon?
Name the polygon by the number of sides.
Pentagon
Hexagon
Heptagon
Octagon
What is the correct classification of the figure?
Equilateral Triangle
Regular Pentagon
Regular Hexagon
Regular Octagon
Regular Decagon
Classify this angle
Acute
Right
Obtuse
Straight
Classify this angle
Acute
Right
Obtuse
Straight
Which line is not drawn?
\overline{AE}
\overline{BD}
\overline{FD}
\overline{AC}
Which points are collinear?
A, E, C
F, D, E
A, E, D
D, E, C
What is the intersection of \overline{AC} and \overline{BD}?
D
E
\overline{AC}
\overline{EC}
What is m\angle{JNK}?
46o
154o
34o
146o
What is the classification of\angle{KNM}?
Acute
Obtuse
Right
Straight
What is the classification of\angle{LNM}?
Acute
Obtuse
Right
Straight
\angle{1} and \angle{2}
Vertical Pair
Linear Pair
Neither
\angle{1} and \angle{4}
Vertical Pair
Linear Pair
Neither
\angle{2} and \angle{5}
Vertical Pair
Linear Pair
Neither
Name a pair of adjacent angles in the figure shown.
\angle{2} and \angle{4}
\angle{1} and \angle{4}
\angle{3} and \angle{4}