Log in
Sign up for FREE
arrow_back
Library

6.1 Worksheet

star
star
star
star
star
Last updated almost 4 years ago
35 questions
1
1
1
1
1
1
1
1
1
1
1
1
1
1
1
1
1
1
1
1
1
1
1
1
1
1
1
1
1
1
1
Question 1
1.

Find the geometric mean of 12 and 27.

Question 2
2.

Find the geometric mean of 4 and 25.

Question 3
3.

Find the geometric mean of 32 and 8.

For the next 3 questions, convert the first unit to the second unit.
Question 4
4.

52 ounces to pounds

Question 5
5.

40 cm to inches

Question 6
6.

3 miles to feet

For the next 4 questions, use the number line below to find the ratio of the distances given.
1
1
1
1
Question 11
11.

The measures of the angles of a triangle are in the extended ratio 3:5:10. Find the measures of the angles of the triangle. Write your answer as #,#,#.

Question 12
12.

The measures of the angles of a triangle are in the extended ratio 2:3:4. Find the measures of the angles of the triangle. Write your answer as #,#,#.

Question 13
13.

The measures of the angles of a triangle are in the extended ratio 11:12:13. Find the measures of the angles of the triangle. Write your answer as #,#,#.

Question 14
14.

Solve the proportion below:

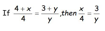
Question 15
15.

Solve the proportion below:

Question 16
16.

Solve the proportion below:

Question 17
17.

Solve the proportion below:

Question 18
18.

In the triangle below, the ratio of AB:BC is 3:8. Solve for the variable.

Question 19
19.

In the triangle below, the ratio of AB:BC is 3:4. Solve for the variable.

Question 20
20.

In the triangle below, the ratio of AB:BC is 5:9. Solve for the variable.

Question 21
21.

The ratio of two supplementary angles is 5:3. Find the measures of the angles. Write your answer as #,#.

Question 22
22.

Complete the statement below:

Question 23
23.

Complete the statement below:

Question 24
24.

Complete the statement below:

Question 25
25.

Complete the statement below:

Question 26
26.

Question 27
27.

Question 28
28.

Question 29
29.

Question 30
30.

In the diagram below, given that \frac{CB}{BA}=\frac{DE}{EF}, find BA.

Question 31
31.

In the diagram below, given that \frac{XW}{XV}=\frac{YW}{ZV}, find ZV.

Question 32
32.

In the diagram below, given that \frac{CA}{CB}=\frac{AE}{BD}, find BD.

Question 33
33.

In the diagram below, given that \frac{SQ}{SR}=\frac{TV}{TU}, find RQ.

Question 34
34.

Question 35
35.

A 36-foot tall tree casts a shadow that is 4 feet long. If a man stands next to the tree and casts a shadow that is 0.75 feet long, how tall is the man?

Question 7
7.

\frac{AD}{CF}

Question 8
8.

\frac{BD}{AB}

Question 9
9.

\frac{CE}{EF}

Question 10
10.

\frac{BE}{CE}

Decide whether the statement below is True or False:
True
False
Decide whether the statement below is True or False:
True
False
Decide whether the statement below is True or False:
True
False
Decide whether the statement below is True or False:
True
False
If x, y, z, and q are four different numbers, and the proportion \frac{x}{y}=\frac{z}{q} is true, which of the following is FALSE?
\frac{y}{x}=\frac{q}{z}
\frac{x}{z}=\frac{y}{q}
\frac{y}{x}=\frac{z}{q}
\frac{x+y}{y}=\frac{z+q}{q}