Log in
Sign up for FREE
arrow_back
Library

2.1- Speed

star
star
star
star
star
Last updated about 3 years ago
23 questions
1
1
1
1
1
1
1
1
1
1
1
1
1
1
1
1
Speed

We know how much motion something has by measuring its speed. Speed is the distance an object travels divided by the time it took the object to travel that distance. I know its another formula and science is beginning to sound like math class, but remember math and science are BFFs. To calculate the speed of an object you use:

1
1
Speed formula
We use this formula to calculate the average speed of an object. One thing we know about speed is that it is always changing.

Your speed moving down the hallways begins slowly, and then you find an area with no students so you increase your speed until you reach your locker, at which your speed stops.

During your whole journey down the hallway your speed was constantly changing, but we can calculate your average speed by determining that your locker is 12.5 meters down the hallway and it took you 25 seconds.
So in our hallway example you were moving an average of 0.5 meters (50 centimeters) ever second. Speed can be measured in any distance and time measurements. For example when you run the track in P.E. you wouldn’t want to measure your speed in centimeters per second (although the number would make you sound really fast). You would measure your average speed in meters per minute.
1
1
1
Question 5
5.

You ran 400 meters in 2 minutes. What is your speed? (SHOW WORK on all calculations!)

*Do not forget units

It is important to remember that during your run you were not going to same speed the entire time. At the beginning you were probably running really fast, but as the run went on you became tired, which caused you to slow down. Average speed takes all your movements (fast and slow) and gives you a number that you were moving overall. It will not tell you how much speed you had at the beginning of the race.

1
1
Question 7
7.

A) What is the difference between speed and average speed?

B) Why is average speed important?

Question 8
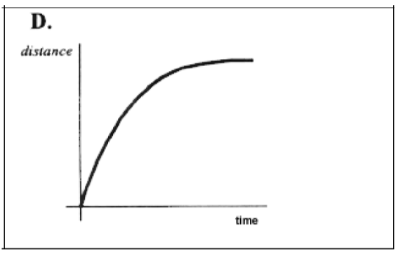
8.

When was the object sitting still?

Question 9
9.

At what point is the object moving back to the starting point?

Question 10
10.

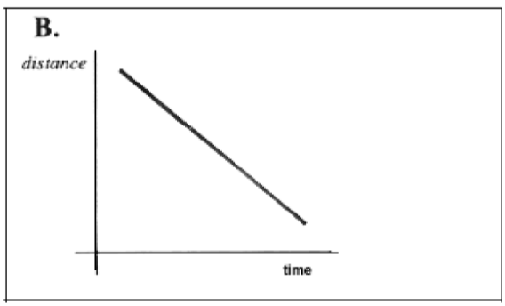
Match the description to the graph:
"The car is stopped."

Question 11
11.

Match the description to the graph:
"The car is traveling at a constant speed."

Question 12
12.

Match the description to the graph:
"The speed of the car is decreasing."

Question 13
13.

Match the description to the graph:
"The car is coming back."

Question 14
14.

Segment A-B The bus is _________________.

Question 15
15.

Segment O-A The bus is _________________.

Question 16
16.

Which runner won the race?

Question 17
17.

Which runner stopped for a rest?

Question 18
18.

How long did Charlie stop for a rest?

Question 19
19.

What is the speed of a man who runs 10 miles in 1 hr?

Question 20
20.

Question 21
21.

A car travelled 52 km in  ½h. Find the speed of the car.

Question 22
22.

Lee Ann took 40 min to jog 5 km. What was her average speed in km/h?

Question 23
23.

Samik jogged 2 rounds of a running track in 8 min. Each round of the track was 400 m. What was his jogging speed?


Question 2
2.

What is the average speed of an object?

Question 4
4.
Because of the fact that speed is always changing, we usually calculate the __________________ .
Other Answer Choices:
amount title
minor velcocity
mako energy
average speed
total speed
force
between 0 and 1 second
from 10 to 12.5 seconds
2 seconds
20 hrs
A train travels 25 km in 0.5 hrs. How fast is the train going?


125 km/hr
10 miles
25 miles/hr
5 miles/hr
90 km
50 km/hr
104 km/h
8 km/h
0.1 m/h
force / area
velocity / time
total distance / time