Log in
Sign up for FREE
arrow_back
Library
Puteri și radicali
By Tibi Barta
star
star
star
star
star
Share
share
Last updated over 3 years ago
10 questions
Add this activity
10 points
10
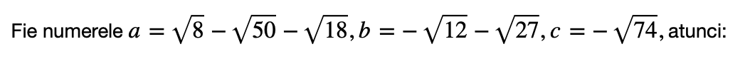
Question 1
1.
a<b<c
b<a<c
c<b<a
b<c<a
c<a<b
10 points
10
Question 2
2.
10 points
10
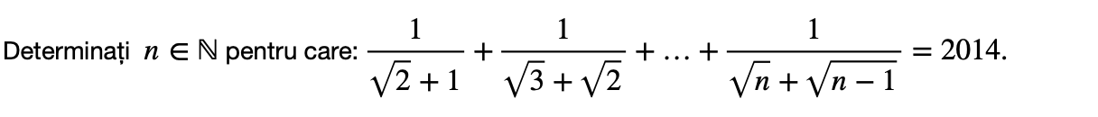
Question 3
3.
10 points
10
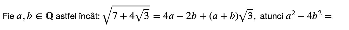
Question 4
4.
10 points
10
Question 5
5.
10 points
10
Question 6
6.
2015
nu stiu
10 points
10
Question 7
7.
10 points
10
Question 8
8.
visibility
View drawing
10 points
10
Question 9
9.
visibility
View drawing
10 points
10
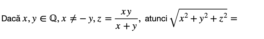
Question 10
10.
|x+y-z|
0
|x+y+2z|
|x+y+z|