Log in
Sign up for FREE
arrow_back
Library
HW 2: Exponential Properties Homework
By Katherine Kisby
star
star
star
star
star
Share
share
Last updated over 1 year ago
12 questions
Add this activity
Simplify each expression. Answers should contain only positive exponents.
1
2
3
4
5
6
7
8
9
10
11
12
zoom_in
1
1
1
1
1
1
1
1
1
1
1
1
Question 1
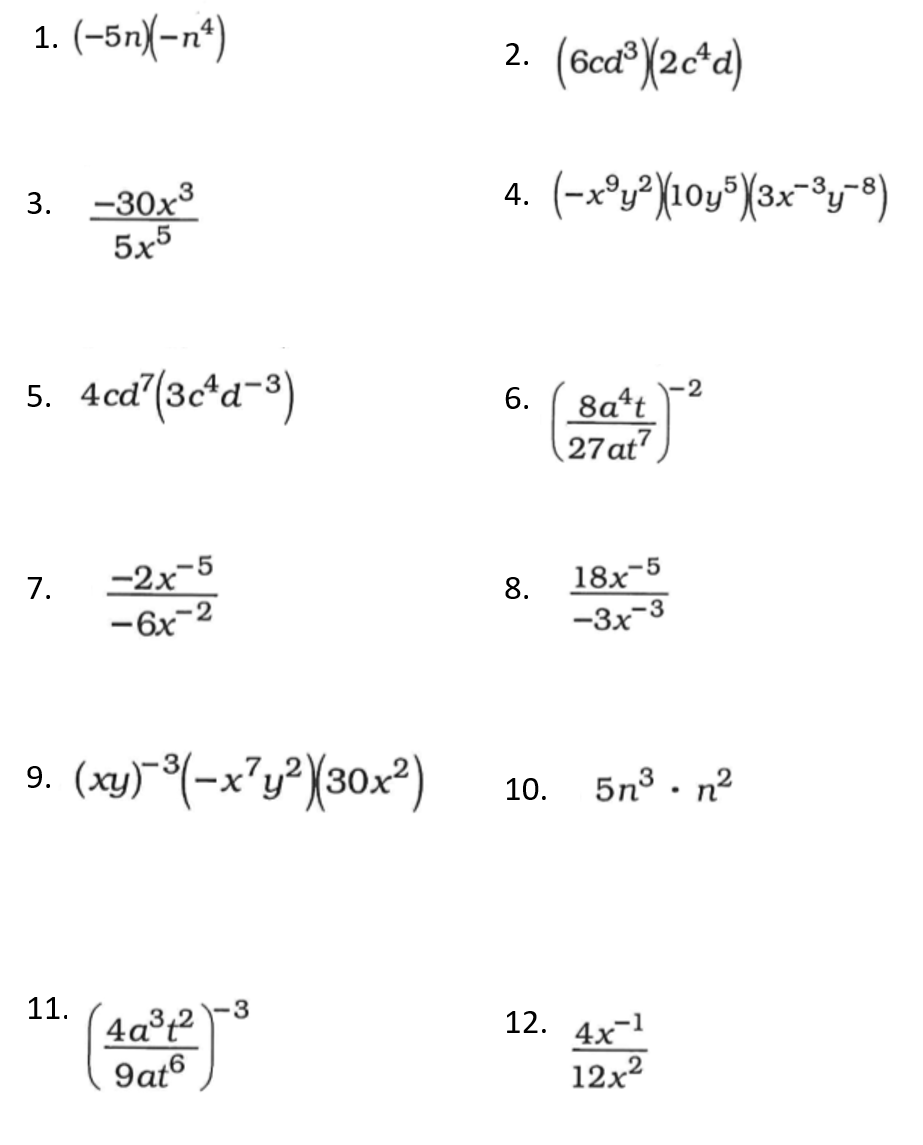
1.
(-5n)(-n^{4})
visibility
View drawing
Question 2
2.
(6cd^{3})(2c^{4}d)
visibility
View drawing
Question 3
3.
\frac{-30x^{3}}{5x^{5}}
visibility
View drawing
Question 4
4.
(-x^{9}y^{2})(10y^{5})(3x^{-3}y^{-8})
visibility
View drawing
Question 5
5.
4cd^{7}(3c^{4}d^{-3})
visibility
View drawing
Question 6
6.
(\frac{8a^{4}t}{25at^{7}})^{-2}
visibility
View drawing
Question 7
7.
\frac{-2x^{-5}}{-6x^{-2}}
visibility
View drawing
Question 8
8.
\frac{18x^{-5}}{-3x^{-3}}
visibility
View drawing
Question 9
9.
(xy)^{-3}(-x^{7}y^{2})(30x^{2})
visibility
View drawing
Question 10
10.
5n^{3}\cdot n^{2}
visibility
View drawing
Question 11
11.
(\frac{4a^{3}t^{2}}{9at^{6}})^{-3}
visibility
View drawing
Question 12
12.
\frac{4x^{-1}}{12x^{2}}
visibility
View drawing