Log in
Sign up for FREE
arrow_back
Library
Precalc Honors 0.5 Homework
By Stephanie Perkins
star
star
star
star
star
Share
share
Last updated about 3 hours ago
4 questions
Add this activity
2
Question 1
1.
Solve the system of equations.
2x-5y= -17
x+y = 2
3
Question 2
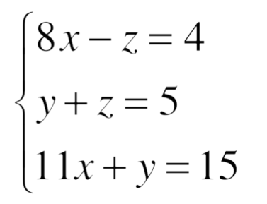
2.
3
1
Solve the system of equations
x=_______
y=_______
z= _______
Question 3
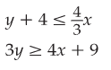
3.
Graph the solution set to the system of inequalities
visibility
View drawing
Question 4
4.
Which method of solving do you prefer? Why?