Log in
Sign up for FREE
arrow_back
Library

22-23 Unit 1 Comprehensive Quiz

star
star
star
star
star
Last updated 3 days ago
20 questions
Note from the author:
1
1
1
1
1
1
1
1
1
1
1
1
1
1
1
1
1
1
1
1
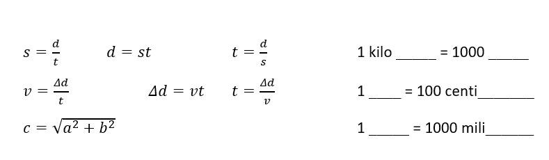
Equations:
Equations:
Question 1
1.

What is the average velocity if Wendy finds that it takes 9.2s to roll a ball down a 12.83m long ramp?

Question 2
2.

Question 3
3.

Question 4
4.

Question 5
5.

Question 6
6.
During an important game, a football coach paces along the side of the field. At the start of the fourth quarter, he is standing at the 20 yard line. He walks 15 m to the left, does a U-turn, and then walks 7 m back to the right. The coach does another U-turn and walks 5 m to the left before coming to a stop.

The coach's distance is _______ m and the coach's displacement is _______ m
Question 7
7.
There are _______ centimeters are in 12.6 meters?
Question 8
8.
A student pulls back a scrunchie and sends it sailing across the room, but it only reaches half way. They then pull the scrunchie back further and it makes it ¾ across the room. They are determined, so they stretch the scrunchie back as much as they can and it reaches the
other side of the room when released.

In this experiment, what is the independent variable is __________ and the dependent variable is __________
Question 9
9.

Kevin Bacon slides on his knees for 2.8 seconds at a constant velocity of 0.57 m/s. How far did Kevin Bacon get across the dancefloor during that time interval?

Question 10
10.

Question 11
11.

Question 12
12.

Question 13
13.
A teacher leaves school at the end of the day and travels North 16.0 km and East 2.5 km to go to the gym. After leaving the gym, she travels South 2.0 km and East 2.5 km to stop at the grocery store. She then continues South 2.0 km until she reaches her house.
The teachers distance is _______ km, her displacement is _______ km _______ (direction here) . And if this whole thing was over a period of 2 hours, her velocity was _______ km/hr _______ (direction here)
Question 14
14.

Question 15
15.

Jack Sparrow is on an island watching Captain Barbossa sail by on his ship at 35 m/s. Captain Barbossa sees Jack and walks towards the back of his ship at 5 m/s.

How fast does Captain Barbossa appear to be walking according to Jack?

Question 16
16.

Jessica and Romero are running around the track. If Jessica is running at 12 m/s, and Romero is running at 9 m/s, how fast does Romero see Jessica's running speed?

Question 17
17.

How long will it take a bird to fly 300 meters if it is flying with an average speed of 0.3m/s?

Question 18
18.

Plot the table in the graph to the right. Be sure to label the axes correctly.

Question 19
19.

Draw the best fit line for the following graph

Question 20
20.

In the distance time graph of the three race cars, which car has the lead at time = 1 second?


Car A
None
Car B
Car C
Which race car is ahead at time = 5 seconds?

Car C
Car A
None
Car B
Which car is going the fastest?


Car C
None
Car A
Car B
Select all statements that correctly describe velocity
I. How far an object travels over a given period of time
II. The increase or decrease of velocity
III. Occurs when changing direction
IV. Often used interchangeably for speed
V. measured in m/s
VI. measured in m/s2
A good hypothesis is:
I. Testable
II. Based on observations
III. The first step in the scientific method
IV. A proposed solution to the problem
The graph describes a cat’s displacement as it runs along a wall. What is the cat’s displacement at 7 seconds?

4 m
0 m
2 m
1 m
During an experiment students are measuring which soap will produce the largest bubble. To keep data accurate, what should the students NOT do?
Use the same technique to blow a bubble
Use the same tool to blow the bubble
Have different students blow the bubbles
Use the same amount of soap solution for each
Select the statement in which all measurements are correctly labeled.
displacement
60 m/s
60 m/s E
velocity
distance
speed
Scalar
Vector
What would be a valid first claim statement for the following graph?
As sales rise, the temperatures rise as well.
As sales rise, the temperatures fall
As the temperature rises, the sales rise as well
As temperature rises, the sales fall