Log in
Sign up for FREE
arrow_back
Library
Unit 2 Quiz Retake w/ videos
By Taylor Christen Engel
star
star
star
star
star
Share
share
Last updated about 3 years ago
24 questions
Add this activity
1
1
1
1
1
1
1
1
1
1
1
1
1
1
1
1
1
1
1
1
play_arrow
Question 1 | 01:05
Question 2 | 01:38
Question 3 | 03:51
Question 4 | 06:29
00:00/00:00
closed_caption_disabled
slow_motion_video
fullscreen
Question 1
01:05
keyboard_arrow_down
1
Question 2
01:38
keyboard_arrow_down
1
Question 3
03:51
keyboard_arrow_down
1
Question 4
06:29
keyboard_arrow_down
1
Question 5
5.
What happened during E to F point?
not moving
increasing speed at a constant rate
moving at 5 m/s
2
 acceleration
moving at a 5 m/s
Question 6
6.
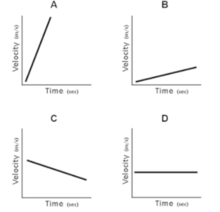
Which graph shows the object standing still?
C
B
D
A
Question 7
7.
On a position vs. time graph, the steeper the slope _____
the slower the speed
less acceleration
the faster the speed
greater acceleration
Question 8
8.
What is the acceleration for the object from 4-5s?
0
40
20
8
Question 9
9.
During which interval is the object slowing down?
A to B
E to F
G to H
D to E
Question 10
10.
A roller coasters accelerates from an initial speed of 6.0 m/s to a final speed of 70 m/s over 4 seconds. What's the acceleration?
16 m/s
2
24 m/s
2
18 m/s
2
17.5 m/s
2
Question 11
11.
What can be said about the velocity of this object?
It is increasing in the positive direction.
It is constant in the positive direction.
It is zero.
It is moving in the north-eastward direction.
Question 12
12.
According to the graph how far does the person travel in the first 10 seconds?
5 m
2 m
10 m
0 m
Question 13
13.
What is the person doing from 5 seconds to 10 seconds?
Standing Still
Running
Walking Fast
Walking
Question 14
14.
Which line represents the slower speed?
green
red
Question 15
15.
How far did Marie go before she turned around?
5 mi
25 mi
20 mi
10 mi
Question 16
16.
Is the velocity constant or non-constant?
Non-constant
Constant
Question 17
17.
The graph below represents
Deceleration
Constant Velocity
Speed
Acceleration
Question 18
18.
Which graph represents the greatest acceleration?
D
C
A
B
Question 19
19.
Which graph represents the zero acceleration (constant velocity)?
D
A
B
C
Question 20
20.
What is this graph showing?
No motion
Acceleration (speeding up)
Constant speed
Deceleration (slowing down)
Question 21
21.
Marie drove to her friends house, what could account for Marie’s motion at 27 minutes?
She was stopped at a red light
She was driving across the top of a hill
She was late so she broke the speed limit
She forgot something at home and ran back to get it
Question 22
22.
A 100 meter race was run, how long did it take Charlie to finish the race?
12 s
14 s
17 s
14 m
Question 23
23.
What is Marie's acceleration from 0-5s?
1 m/s
2
5 m/s
2
0 m/s
2
Question 24
24.
What is Marie's velocity from 5-10s?
5 m/s
-5 m/s
Question 1
1.
What type of line represents a velocity of 0 m/s on a PT graph?
vertical
positive slope
negative slope
horizontal
Question 2
2.
What type of line represents moving forward?
positive slope
negative slope
horizontal
vertical
Question 3
3.
Where on the Velocity vs Time graph does it represent no movement?
Crossing the y-axis
Crossing the x-axis
Question 4
4.
What type of line represents constant acceleration on an Acceleration vs Time graph?
Vertical
Horizontal
Positive slope
Negative slope
-1 m/s
1 m/s
0 m/s