9-9 Multi- step Inequalities
star
star
star
star
star
Last updated over 1 year ago
14 questions
2
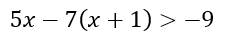
Solve and graph the solution to the inequality. Select 1 solution and 1 graph.
Solve and graph the solution to the inequality. Select 1 solution and 1 graph.
2
Solve and graph the solution to the inequality. Select 1 solution and 1 graph.
Solve and graph the solution to the inequality. Select 1 solution and 1 graph.
2
Solve and graph the solution to the inequality. Select 1 solution and 1 graph.
Solve and graph the solution to the inequality. Select 1 solution and 1 graph.
2
Solve and graph the solution to the inequality. Select 1 solution and 1 graph.
Solve and graph the solution to the inequality. Select 1 solution and 1 graph.
2
Solve and graph the solution to the inequality. Select 1 solution and 1 graph.
Solve and graph the solution to the inequality. Select 1 solution and 1 graph.
2
Solve and graph the solution to the inequality. Select 1 solution and 1 graph.
Solve and graph the solution to the inequality. Select 1 solution and 1 graph.
2
Solve and graph the solution to the inequality. Select 1 solution and 1 graph.
Solve and graph the solution to the inequality. Select 1 solution and 1 graph.
2
Solve and graph the solution to the inequality. Select 1 solution and 1 graph.
Solve and graph the solution to the inequality. Select 1 solution and 1 graph.
2
Solve and graph the solution to the inequality. Select 1 solution and 1 graph.
Solve and graph the solution to the inequality. Select 1 solution and 1 graph.
2
Solve and graph the solution to the inequality. Select 1 solution and 1 graph.
Solve and graph the solution to the inequality. Select 1 solution and 1 graph.
2
Solve and graph the solution to the inequality. Select 1 solution and 1 graph.
Solve and graph the solution to the inequality. Select 1 solution and 1 graph.
2
Solve and graph the solution to the inequality. Select 1 solution and 1 graph.
Solve and graph the solution to the inequality. Select 1 solution and 1 graph.
2
Solve and graph the solution to the inequality. Select 1 solution and 1 graph.
Solve and graph the solution to the inequality. Select 1 solution and 1 graph.
2
Solve and graph the solution to the inequality. Select 1 solution and 1 graph.
Solve and graph the solution to the inequality. Select 1 solution and 1 graph.