9/28 Quiz - Inequalities and Absolute Value Equations
star
star
star
star
star
Last updated over 2 years ago
18 questions
2 points
2
Question 1
1.
Graph x > 3 on the number line.
3 points
3
Question 2
2.
Type in the solution for #1 in interval notation.
2 points
2
Question 3
3.
Graph x < 1 or x > 5 on the number line.
3 points
3
Question 4
4.
Type in the solution for #3 in interval notation.
3 points
3
Question 5
5.
Solve: -1 < 2x – 5 < 23
algebraically, graph the solution, then type in your answer in set notation, fill in the blank - { x| ___________ } Show your work.
2 points
2
Question 6
6.
Type in the solution for #5 in interval notation.
3 points
3
Question 7
7.
Solve 4 + 3x ≤ 10 or 7 + 6x ≥ 31 algebraically, graph the solution, then type in your answer in set notation, fill in the blank - { x| ___________ }. Show your work.
2 points
2
Question 8
8.
Type in the solution for #7 in interval notation.
3 points
3
Question 9
9.
Solve -8 ≤ 3 – x ≤ 9 algebraically, graph the solution, then type in your answer in set notation, fill in the blank - { x| ___________ }. Show your work.
2 points
2
Question 10
10.
Type in the solution for #9 in interval notation.
3 points
3
Question 11
11.
Solve 2x + 1 > 5 or 4x – 2 ≤ -14 algebraically, graph the solution, then type in your answer in set notation, fill in the blank - { x| ___________ }. Show your work.
2 points
2
Question 12
12.
Type in the solution for #11 in interval notation.
5 points
5
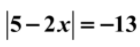
Question 13
13.
Solve the absolute value equation. Be sure to check your answers. Write NO SOLUTION if there is no solution.
5 points
5
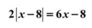
Question 14
14.
Solve the absolute value equation. Be sure to check your answers. Write NO SOLUTION if there is no solution.
5 points
5
Question 15
15.
Solve the absolute value equation. Be sure to check your answers. Write NO SOLUTION if there is no solution.
5 points
5
Question 16
16.
Solve the absolute value equation. Be sure to check your answers. Write NO SOLUTION if there is no solution.
2 points
2
Question 17
17.
Solve the absolute value equation. Be sure to check your answers. Write NO SOLUTION if there is no solution.