Log in
Sign up for FREE
arrow_back
Library
2.2 Exit Ticket - Factor Special Cases (Difference of two squares and double variables)
By Miss Douglas
star
star
star
star
star
Share
share
Last updated about 1 year ago
4 questions
Add this activity
Note from the author:
Factor each completely.
Instructions
Factor each completely.
1 point
1
Question 1
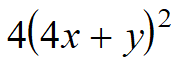
1.
visibility
View drawing
1 point
1
Question 2
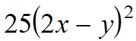
2.
visibility
View drawing
1 point
1
Question 3
3.
1 point
1
Question 4
4.