You Do - 9/13/22
star
star
star
star
star
Last updated almost 3 years ago
16 questions

Required
1
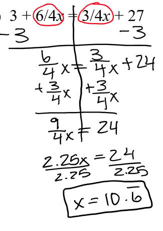
Where is the mistake?
Where is the mistake?
Required
1
What is the real value of x?
What is the real value of x?

Required
1
Where is the mistake?
Where is the mistake?
Required
1
What is the real value of x?
What is the real value of x?

Required
1
Where is the mistake?
Where is the mistake?
Required
1
What is the real value of x?
What is the real value of x?

Required
1
Where is the mistake?
Where is the mistake?
Required
1
What is the real value of x?
What is the real value of x?

Required
1
Where is the mistake?
Where is the mistake?
Required
1
What is the real value of x?
What is the real value of x?

Required
1
Where is the mistake?
Where is the mistake?
Required
1
What is the real value of x?
What is the real value of x?

Required
1
Where is the mistake?
Where is the mistake?
Required
1
What is the real value of x?
What is the real value of x?

Required
1
Where is the mistake?
Where is the mistake?
Required
1
What is the real value of x?
What is the real value of x?