Log in
Sign up for FREE
arrow_back
Library

DAQ/CFA #2

star
star
star
star
star
Last updated over 3 years ago
24 questions
Required
1
Required
1
Required
1
Required
1
Required
1
Required
1
Required
1
Required
1
Required
1
Required
1
Required
1
Required
1
Required
1
Required
1
Required
1
Required
1
Required
1
Required
1
Required
1
Required
1
Required
1
Required
1
Required
1
Required
1
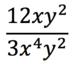
Question 1
1.
To simplify this problem, what should you do with the exponents?
__________
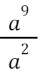
Question 2
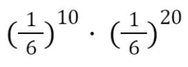
2.
To simplify this problem, what should you do with the exponents?



__________
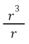
Question 3
3.
To simplify this problem, what should you do with the exponents?


__________
Question 4
4.
To make negative exponents into positive exponents what should you do?

__________
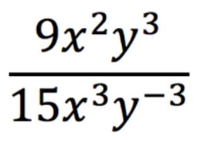
Question 5
5.

Simplify

Question 6
6.

Simplify


Question 7
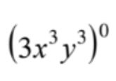
7.

Expand

Question 8
8.

Simplify

Question 9
9.

Question 10
10.

Question 11
11.

Simplify

Question 12
12.

Simplify

Question 13
13.

Simplify

Question 14
14.

Simplify

Question 15
15.

Simplify


Question 16
16.

Simplify


Question 17
17.

Simplify



Question 18
18.

Simplify


Question 19
19.

Simplify


Question 20
20.

Simplify


Question 21
21.

Simplify


Question 22
22.

Simplify

Question 23
23.

Simplify


Question 24
24.

Simplify