Lessons 1.1 - 1.4 Notes
star
star
star
star
star
Last updated over 3 years ago
0 questions
Review these at least once a week.
Recursive & Explicit Functions.mp4


El patrón de mosaicos que se muestra aquí está hecho con un cuadrado de 5 x 5 de mosaicos blancos rodeado por un borde con cuadrados de colores alternos. Muestre cómo agruparía las fichas para contar rápidamente la cantidad de cuadrados de colores en el patrón.
Mchoro wa vigae ulioonyeshwa hapa umetengenezwa na mraba 5 x 5 wa vigae vyeupe vilivyozungukwa na mpaka wenye miraba ya rangi inayopishana. Onyesha jinsi unavyopanga vigae ili kuhesabu kwa haraka idadi ya miraba yenye rangi katika muundo.
Igishushanyo cyamabati yerekanwe hano gikozwe hamwe na 5 x 5 kare ya tile yera ikikijwe numupaka uhinduranya amabara. Erekana uburyo washyira amatafari kugirango ubare vuba umubare wibara ryamabara mubishushanyo.

Usa variables para describir formas de ver un patrón.
Cuando miro un patrón, ¿cómo puedo describir lo que está cambiando y lo que permanece igual?
¿Puede ayudar la visualización de grupos a comprender los diagramas?
¿Cómo expresan las variables la forma en que vemos los patrones?
Tumia vigeu kuelezea njia za kuona muundo. .
Ninapoangalia muundo, ninawezaje kuelezea kile kinachobadilika na kinachokaa sawa? .
Je, kuona vikundi kunaweza kusaidia kuelewa michoro? .
Vigezo huonyeshaje jinsi tunavyoona ruwaza?
Koresha impinduka kugirango usobanure inzira zo kubona icyitegererezo.
Iyo ndebye ku gishushanyo, nigute nshobora gusobanura icyahinduka nikigumaho?
Kubona amatsinda bishobora gufasha mugusobanukirwa ibishushanyo?
Nigute impinduka zerekana uburyo tubona imiterere?

En preparación para el regreso a clases, la administración de la escuela planea reemplazar los azulejos de la cafetería. Les gustaría tener un patrón de tablero de ajedrez de mosaicos de dos filas de ancho para rodear las mesas y los carritos de servicio.
Katika kujiandaa kurejea shuleni, uongozi wa shule unapanga kubadilisha vigae kwenye mkahawa. Wangependa kuwa na muundo wa ubao wa kuteua wa vigae vyenye upana wa safu mbili ili kuzunguka meza na mikokoteni ya kuhudumia.
Mu rwego rwo kwitegura gusubira ku ishuri, ubuyobozi bw’ishuri burateganya gusimbuza tile muri cafeteria. Bashaka kugira igenzura ryerekana amabati imirongo ibiri yagutse kugirango bazenguruke ameza no gutanga amakarito.

Encuentre la cantidad de fichas de colores en el borde del tablero de ajedrez usando una estrategia que usted o uno de sus compañeros usó en el Jump Start. Muestre sus cálculos.
Tafuta idadi ya vigae vya rangi kwenye mpaka wa ubao wa kuteua kwa kutumia mbinu ambayo wewe au mmoja wa marafiki zako alitumia kwenye Rukia Start. Onyesha mahesabu yako.
Shakisha umubare wamabara yamabara kumupaka ugenzura ukoresheje ingamba wowe cyangwa umwe murungano rwawe wakoresheje mugusimbuka. Erekana imibare yawe.

Usa la misma estrategia de conteo que usaste para el cuadrado de 5 x 5 y el de 6 x 6 para encontrar una expresión para la cantidad de mosaicos de borde de colores necesarios para cualquier centro cuadrado de N x N.
Tumia mbinu ile ile ya kuhesabu uliyotumia kwa 5 x 5 na mraba 6 x 6 ili kupata usemi wa idadi ya vigae vya rangi vya mpaka vinavyohitajika kwa kituo chochote cha mraba cha N x N.
Koresha ingamba zimwe zo kubara wakoresheje kuri 5 x 5 na 6 x 6 kare kugirango ubone imvugo yumubare wamabara yimipaka akenewe kumurongo uwo ariwo wose wa N x N.
Para 5x5, teníamos 4x5 para los lados
Para 6x6, teníamos 4 x 6 para los lados.
Para NxN, tenemos 4 x N o 4N
Kwa 5x5, tulikuwa na 4 x 5 kwa pande
Kwa 6x6, tulikuwa na 4 x 6 kwa pande
Kwa NxN, tuna 4 x N au 4N
Kuri 5x5, twari dufite 4 x 5 kumpande
Kuri 6x6, twari dufite 4 x 6 kumpande
Kuri NxN, dufite 4 x N cyangwa 4N

Patrón de tablero de ajedrez: N x N
Como sabemos que cada tablero de ajedrez tiene cuatro esquinas de fichas de dos colores, eso es un total de 8 fichas cada vez (4 x 2)
Las fichas de colores laterales dependen del tamaño del cuadrado blanco. El 5 x 5 tenía 4 juegos de 5 fichas. El 6 x 6 tenía 4 juegos de 6 fichas. Por lo tanto, el N x N tendrá 4 conjuntos de N fichas.
Podemos escribir esto como 4 x N o 4N (un número al lado de una variable significa multiplicación).
El número total de fichas es las fichas de esquina (8) más las fichas laterales (4N)
4N + 8
Muundo wa Ubao wa Kuangalia: N x N
Kwa kuwa tunajua kwamba kila ubao wa kusahihisha una pembe nne za vigae vya rangi mbili, hiyo ni jumla ya vigae 8 kila wakati (4 x 2)
Matofali ya rangi ya upande hutegemea ukubwa wa mraba nyeupe. 5 x 5 ilikuwa na seti 4 za vigae 5. 6 x 6 ilikuwa na seti 4 za vigae 6. Kwa hivyo, N x N itakuwa na seti 4 za vigae N
Tunaweza kuandika hii kama 4 x N au 4N (nambari iliyo karibu na kigezo humaanisha kuzidisha.).
Jumla ya vigae ni vigae vya kona (8) pamoja na vigae vya kando (4N).
4N + 8
Igishushanyo cyerekana: N x N.
Kubera ko tuzi ko buri kibaho kigenzura impande enye zamabara abiri, ayo ni tile 8 yose buri gihe (4 x 2)
Amabati yamabara kuruhande ashingiye kubunini bwa kare kare. 5 x 5 yari ifite amaseti 4 ya tile 5. 6 x 6 yari ifite amaseti 4 ya tile 6. Kubwibyo, N x N izaba ifite ibice 4 bya N tile.
Turashobora kwandika ibi nka 4 x N cyangwa 4N (umubare kuruhande rwibihinduka bisobanura kugwira.)
Umubare wuzuye wamabati ni mfuruka (8) wongeyeho amatafari yo kuruhande (4N)
4N + 8

Estrategias para ayudarnos a ver patrones en diagramas:
• Usa color para marcar el diagrama y hacer que tu pensamiento sea visible.
• Busque grupos iguales. Observe el número de grupos y el tamaño de los grupos.
• Busque cantidades que estén cambiando y cantidades que permanezcan iguales.
• Busque áreas, especialmente rectángulos y cuadrados.
Mikakati ya kutusaidia kuona ruwaza katika michoro:
• Tumia rangi kuweka alama kwenye mchoro na kufanya mawazo yako yaonekane. .
• Tafuta vikundi vilivyo sawa. Angalia idadi ya vikundi na ukubwa wa vikundi. .
• Angalia kiasi ambacho kinabadilika na kiasi ambacho kinabaki sawa. .
• Tafuta maeneo, hasa mistatili na miraba
Ingamba zidufasha kubona imiterere mubishushanyo:
• Koresha ibara kugirango ushushanye igishushanyo kandi utume ibitekerezo byawe bigaragara.
• Shakisha amatsinda angana. Reba umubare wamatsinda nubunini bwamatsinda.
• Shakisha ingano ihinduka nubunini bugumaho.
• Shakisha ahantu, cyane cyane urukiramende na kare.




Describe un patrón de crecimiento con tablas, gráficos y ecuaciones.
¿Cómo cambia el patr ón de una figura a la siguiente?
¿Cómo puedo usar una representación matemática?
para mostrar cómo veo un patrón?
Eleza muundo unaokua na majedwali, grafu na milinganyo.
Je, muundo unabadilikaje kutoka takwimu moja hadi nyingine?
Ninawezaje kutumia uwakilishi wa hisabati
kuonyesha jinsi ninavyoona muundo?
Sobanura uburyo bukura hamwe nameza, ibishushanyo, hamwe nuburinganire.
Nigute imiterere ihinduka kuva mumibare imwe ikajya kurindi?
Nigute nshobora gukoresha imibare igereranya
kwerekana uko mbona icyitegererezo?











Modele una secuencia de figuras utilizando tablas, gráficos y ecuaciones.
¿Cómo puedo etiquetar el diagrama para mostrar cómo veo el patrón?
¿Cómo puedo usar representaciones matemáticas para mostrar cómo veo que cambia el patrón?
Toa mfano wa mlolongo wa takwimu kwa kutumia majedwali, grafu na milinganyo. .
Ninawezaje kuweka lebo kwenye mchoro kuonyesha jinsi ninavyoona muundo? .
Ninawezaje kutumia uwakilishi wa kihesabu kuonyesha jinsi ninavyoona muundo unabadilika?
Tanga urutonde rwimibare ukoresheje imbonerahamwe, ibishushanyo, hamwe nuburinganire.
Nigute nshobora kuranga igishushanyo kugirango nerekane uko mbona icyitegererezo?
Nigute nshobora gukoresha imibare yerekana kwerekana uko mbona imiterere ihinduka?


Patrones vistos:
Los puntos están dispuestos en grupos de tres.
Cada grupo tiene el mismo número de puntos
Los puntos se duplican en cada grupo cada minuto y se duplican en total cada minuto
Miundo Inayoonekana:
Dots zimepangwa katika vikundi vya tatu
Kila kikundi kina idadi sawa ya dots
Dots mara mbili katika kila kikundi kila dakika na mara mbili kwa jumla kila dakika
Ingero zabonetse:
Utudomo dutondekanye mumatsinda ya batatu
Buri tsinda rifite umubare umwe wududomo
Utudomo twikubye kabiri muri buri tsinda buri munota kandi kabiri muri buri munota



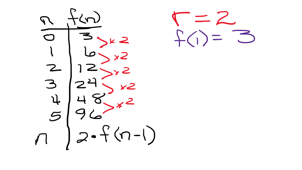
Ecuaciones recursivas:
¿Donde empezamos?
¿Cómo llegamos a la siguiente respuesta, usando la respuesta anterior?
f(1) es donde empezamos
f(n) es la respuesta (siguiente término) que queremos
f(n-1) es la respuesta anterior (término)
Milinganyo ya kujirudia:
Tunaanzia wapi?
Je, tunapataje jibu linalofuata, kwa kutumia jibu lililotangulia?
f(1) ndipo tunapoanzia
f(n) ndio jibu (muhula unaofuata) tunataka
f(n-1) ni jibu la awali (neno)
Ingano isubiramo:
Duhera he?
Nigute dushobora kubona igisubizo gikurikira, dukoresheje igisubizo kibanza?
f (1) niho duhera
f (n) nigisubizo (manda itaha) dushaka
f (n-1) nigisubizo kibanza (ijambo)

r es cuánto multiplicamos cada respuesta para obtener la siguiente respuesta.
Ecuación recursiva:
f(1) = #, f(n) = f(n - 1)*r
r ni kiasi gani tunazidisha kila jibu ili kupata jibu linalofuata.
Mlingano wa kujirudia:
f(1) = #, f(n) = f(n - 1)*r
r nuburyo tugwiza buri gisubizo kugirango tubone igisubizo gikurikira.
Ikigereranyo gisubiramo:
f (1) = #, f (n) = f (n - 1) * r

Ecuación explícita Cómo usar cualquier entrada para encontrar una respuesta (salida) Aún se necesita f(1) y r f(n) = f(1)(r)^(n-1) *Esta es una ecuación exponencial.
Mlinganyo wa wazi Jinsi ya kutumia ingizo lolote kupata jibu (pato) Bado unahitaji f(1) na r f(n) = f(1)(r)^(n-1) *Hii ni mlingano wa kielelezo.
Ikigereranyo cyeruye Nigute wakoresha ibitekerezo byose kugirango ubone igisubizo (ibisohoka) Biracyakenewe f (1) na r f (n) = f (1) (r) ^ (n-1) * Ubu ni ikigereranyo cyerekana.






Modele una secuencia usando una tabla, un gráfico y ecuaciones explícitas y recursivas.
¿Cómo veo el cambio entre figuras en cada representación?
¿Cómo puedo saber si una secuencia es aritmética, geométrica o ninguna?
¿En qué se diferencian las ecuaciones explícitas de las recursivas?
¿Cuáles son las ventajas de usar una ecuación explícita versus una ecuación recursiva?
Toa mfano wa mlolongo kwa kutumia jedwali, grafu, na milinganyo ya wazi na inayojirudia. .
Ninaonaje mabadiliko kati ya takwimu katika kila uwakilishi? .
Ninawezaje kujua ikiwa mlolongo ni hesabu, kijiometri, au la? .
Je, milinganyo dhahiri ina tofauti gani na milinganyo inayojirudia? .
Je, ni faida gani za kutumia mlingano dhahiri dhidi ya mlingano wa kujirudia?
Tanga urukurikirane ukoresheje imbonerahamwe, igishushanyo, hamwe nuburinganire bweruye kandi busubiramo.
Nabona nte impinduka hagati yimibare muri buri gihagararo?
Nabwirwa n'iki ko urukurikirane ari imibare, geometrike, cyangwa ntayo?
Ni mu buhe buryo ibigereranyo bitandukaniyeho bitandukanye no kugereranya?
Ni izihe nyungu zo gukoresha ikigereranyo cyeruye hamwe no kugereranya kwisubiramo?





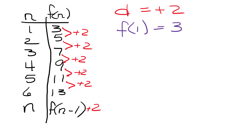
Recursiva (aritmética)
f(1) = #, f(n) = f(n - 1) + d
Kujirudia (hesabu)
f(1) = #, f(n) = f(n - 1) + d
Isubiramo (arithmetic)
f (1) = #, f (n) = f (n - 1) + d

The sequence is arithmetic because there is a common difference of 2 between terms.
La secuencia es aritmética porque hay una diferencia común de 2 entre los términos.
Mfuatano huo ni wa hesabu kwa sababu kuna tofauti ya kawaida ya 2 kati ya maneno.
Urukurikirane ni imibare kuko hariho itandukaniro rusange rya 2 hagati yamagambo.


Video Resources
Recursos de vídeo
Rasilimali za Video
Amashusho
https://tinyurl.com/4x43kuxk
https://tinyurl.com/467w7umn
https://tinyurl.com/2jmsyam2
https://tinyurl.com/bdd26a4d