Log in
Sign up for FREE
arrow_back
Library

Reflection on Solving Equations Quick Check (4 Questions)

star
star
star
star
star
Last updated over 3 years ago
6 questions
Required
1
Required
1
Required
1
Required
1
Required
1
Required
1
Check out the answers to the Solving Equations Quick Check. See if you can identify where you made your mistake and highlight the mistake for easy reference.
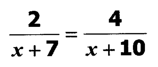
Question 1
1.

Question 1: Check out the work and answer below. Did you get the correct answer?

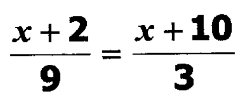
Question 2
2.

Question 2: Check out the work and answer below. Did you get the correct answer?

Question 3
3.

Question 3: Check out the work and answer below. Did you get the correct answer?


Question 4
4.

Question 4: Check out the work and answer below. Did you get the correct answer?

Question 5
5.

Which emoji would you pick to reflect on how you did.

Question 6
6.

Which questions did you struggle with?

0/4 of 1/4 I am really lost and I need to attend a Viking Time.
Fraction problems with variables in the denominator.
Fraction problems with variables in the numerator.
Distributive property with just a negative and not a number.
Distributive property on both sides of the equation.
Distributive property with a negative number.
The mistakes I made are not listed.