Log in
Sign up for FREE
arrow_back
Library
Numere complexe forma algebrica 1
By Tibi Barta
star
star
star
star
star
Share
share
Last updated about 3 years ago
8 questions
Add this activity
15 points
15
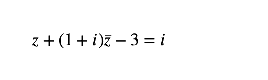
Question 1
1.
a) 1-3i
b) 1+3i
c) 3+5i
d) 3+7i
e) alt răspuns
15 points
15
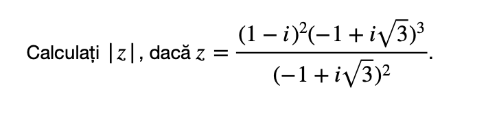
Question 2
2.
15 points
15
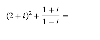
Question 3
3.
10 points
10
Question 4
4.
10 points
10
Question 5
5.
visibility
View drawing
15 points
15
Question 6
6.
visibility
View drawing
10 points
10
Question 7
7.
10 points
10
Question 8
8.
visibility
View drawing