Composite Functions
star
star
star
star
star
Last updated almost 3 years ago
5 questions
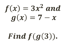
In evaluating function compositions, we substituted the value of x into the input function, then used the output from that function as the input on the next function.
1
1
1
1
1
