Log in
Sign up for FREE
arrow_back
Library
9/23/2022-Quiz--Graphing Quads
By Melanie S Boyd
star
star
star
star
star
Share
share
Last updated almost 3 years ago
18 questions
Add this activity
1
1
1
1
1
1
1
1
Question 1
1.
What is the y-intercept for
(enter your answer as an ordered pair (x,y) )
visibility
View drawing
Question 2
2.
What is the equation of the axis of symmetry
(enter your answer as an equation)
visibility
View drawing
Question 3
3.
What is the vertex of
visibility
View drawing
4
5
6
7
zoom_in
1
Question 4
4.
Given:
What is the y-intercept?
visibility
View drawing
1
Question 5
5.
visibility
View drawing
1
1
8
9
10
zoom_in
1
Question 8
8.
For the equation:
What are the x-intercept(s)?
(as an ordered pair (x,y) and separate by a comma if there are more than 1...if none, type none)
visibility
View drawing
1
Question 9
9.
For the equation:
What is the domain?
visibility
View drawing
1
11
12
13
zoom_in
1
Question 11
11.
For the equation:
What are the roots?
(use {x,x} for your answer input)
visibility
View drawing
1
Question 12
12.
For the equation:
What is the y-intercept?
visibility
View drawing
1
Question 14
14.
visibility
View drawing
Question 15
15.
Given the graph, h=?
visibility
View drawing
Question 16
16.
Given the graph, k=?
visibility
View drawing
Question 17
17.
visibility
View drawing
Question 18
18.
Given:
What is the vertex?
Question 6
6.
Given:
What is the axis of symmetry?
visibility
View drawing
Question 7
7.
Given:
What is the range?
visibility
View drawing
Question 10
10.
For the equation:
What is the vertex?
visibility
View drawing
Question 13
13.
For the equation:
What is the increasing interval?
visibility
View drawing
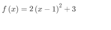
Given the function:
Choose the correct responses that describe the transformation:
reflection
Stretched by -3
Shifts right 7
Compressed by 7
Shifts down 3
Shifts left 7
Shift up 3
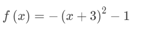
Choose the correct responses that describe the transformation:
Shifts right 2
Shifts left 2
Shifts up 1
Shifts down 1
Reflection
Stretched by a factor of 2
Compressed by a factor of 2