9/26/2022-Warm Up
star
star
star
star
star
Last updated over 2 years ago
14 questions
1
Without using a calculator, what is:
Without using a calculator, what is:
1
Without using a calculator, what is:
Without using a calculator, what is:
1
Without using a calculator, what is:
Without using a calculator, what is:
1
Without using a calculator, what is:
Without using a calculator, what is:
1
Without using a calculator, what is:
Without using a calculator, what is:
1
What 2 numbers multiply to get -48 and combine to get -2?
(input your answer like the example...separate your numbers with a comma, no spaces please)
What 2 numbers multiply to get -48 and combine to get -2?
(input your answer like the example...separate your numbers with a comma, no spaces please)
1
What 2 numbers multiply to get 81 and combine to get -18?
(input your answer like the example...separate your numbers with a comma, no spaces please)
What 2 numbers multiply to get 81 and combine to get -18?
(input your answer like the example...separate your numbers with a comma, no spaces please)
1
What 2 numbers multiply to get -24 and combine to get 5?
(input your answer like the example...separate your numbers with a comma, no spaces please)
What 2 numbers multiply to get -24 and combine to get 5?
(input your answer like the example...separate your numbers with a comma, no spaces please)
1
What 2 numbers multiply to get -40 and combine to get 18?
(input your answer like the example...separate your numbers with a comma, no spaces please)
What 2 numbers multiply to get -40 and combine to get 18?
(input your answer like the example...separate your numbers with a comma, no spaces please)
1
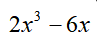
Factor completely. What's the GCF? Include it in your response!!
Factor completely. What's the GCF? Include it in your response!!
1
Factor completely: (remember that if the first number begins with a negative sign, you must include a negative sign with your GCF)
Factor completely:
(remember that if the first number begins with a negative sign, you must include a negative sign with your GCF)
1
Factor completely.
Factor completely.
1
Factor completely.
Factor completely.
1
Factor completely.
Factor completely.