11/03/2021-Test Review redo
star
star
star
star
star
Last updated over 2 years ago
36 questions
1
HINT: Graph this in show your work to find where it intersects the y-axis OR set x=0 and solve for y.
Input as a point (x,y)
HINT: Graph this in show your work to find where it intersects the y-axis OR set x=0 and solve for y.
Input as a point (x,y)
1
(hint: this is an equation)
(hint: this is an equation)
1
1
What are the 2 binomial factors of (so this question could have also said "factor completely"...put them both into the answer as we have been doing throughout the unit)
What are the 2 binomial factors of
(so this question could have also said "factor completely"...put them both into the answer as we have been doing throughout the unit)
1
What are factors of (so this question could have also said "factor completely"...put them both into the answer as we have been doing throughout the unit)
What are factors of
(so this question could have also said "factor completely"...put them both into the answer as we have been doing throughout the unit)
1
is a perfect square trinomial, what is the value of c?
is a perfect square trinomial, what is the value of c?
1
What are zeros of (HINT: remember what 'zero' means??...this really means to solve, so set equal to 0, factor, solve)
What are zeros of
(HINT: remember what 'zero' means??...this really means to solve, so set equal to 0, factor, solve)
1
Also known as the 'decreasing interval'...in interval notation.
Also known as the 'decreasing interval'...in interval notation.
1
Given the graph: What are the apparent factors of the given function?
Given the graph: What are the apparent factors of the given function?
1
After completely factoring, choose all of the factors of:
After completely factoring, choose all of the factors of:
1
Choose ALL the factors that apply: (don't forget to include any GCFs!!!!)
Choose ALL the factors that apply: (don't forget to include any GCFs!!!!)
1
Factor completely:
Factor completely:
1
1
What are the roots of this equation. Input your answer in set notation using { }.
What are the roots of this equation. Input your answer in set notation using { }.
1
1
Choose all zeros that apply.
Choose all zeros that apply.
1
Solve by factoring: Input your answer in set notation using { }.
Solve by factoring:
Input your answer in set notation using { }.
1
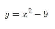
Using the equation above,
what is the y-intercept? (hint: substitute x=0 and solve for y to find the y-coordinate...graphing will be too painful to find it)
Input your answer as a point (x,y)
Using the equation above,
what is the y-intercept? (hint: substitute x=0 and solve for y to find the y-coordinate...graphing will be too painful to find it)
Input your answer as a point (x,y)
1
Using the equation above,
what is the vertex?
Using the equation above,
what is the vertex?
1
Using the equation above,
what is the axis of symmetry? HINT: this is an equation!!
Using the equation above,
what is the axis of symmetry? HINT: this is an equation!!
1
Using the equation above,
what is the range? hint: watch your brackets/parentheses!!!
Using the equation above,
what is the range? hint: watch your brackets/parentheses!!!
1
Using the equation above,
select the correct transformation:
Using the equation above,
select the correct transformation:
1
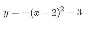
NOTE: This is a new equation!!!!
Using the equation above,
what are the roots? (if none, write no real solution in the blank)
HINT: graph it in show your work to help you!
NOTE: This is a new equation!!!!
Using the equation above,
what are the roots? (if none, write no real solution in the blank)
HINT: graph it in show your work to help you!
1
Using the equation above,
what the increasing interval?
Using the equation above,
what the increasing interval?
1
Using the equation above,
what the decreasing interval?
Using the equation above,
what the decreasing interval?
1
Using the equation above,
select the correct transformation:
Using the equation above,
select the correct transformation:
1
Using the graph, write the equation in vertex form:
Using the graph, write the equation in vertex form:
1
Given the graph, choose the correct transformation options below: (choose all that apply)
NOTE: Points shown describe the vertex and 1a.
Given the graph, choose the correct transformation options below: (choose all that apply)
NOTE: Points shown describe the vertex and 1a.
1
Given the graph, what is the value of h?
Given the graph, what is the value of h?
1
Write the equation of the given graph in vertex form...begin with f(x)=
Write the equation of the given graph in vertex form...begin with f(x)=
1
Given the equation,
what are roots? (in set notation) HINT: you can graph this or factor to get your answer!!
Given the equation,
what are roots? (in set notation) HINT: you can graph this or factor to get your answer!!
1
Given the equation,
what is the domain? (in interval notation)
Given the equation,
what is the domain? (in interval notation)
1
upload your pages of work here--page 1
upload your pages of work here--page 1
1
upload your pages of work here--page 2
upload your pages of work here--page 2
1
upload your pages of work here--page 3
upload your pages of work here--page 3
1
upload your pages of work here--page 4
upload your pages of work here--page 4