Log in
Sign up for FREE
arrow_back
Library

MATH: Compound Interest in Savings Accounts

star
star
star
star
star
Last updated over 1 year ago
15 questions
Note from the author:

Compound interest is the key to how your money can make money. Understanding the formula for compound interest and how each variable contributes to growth will help you prioritize how you want to plan for the future.


Show your work and use complete sentences for full credit.


Compound interest is the key to how your money can make money. Understanding the formula for compound interest and how each variable contributes to growth will help you prioritize how you want to plan for the future.


Show your work and use complete sentences for full credit.


How banks make money.


Required
3
Required
3
Required
3
Required
3

Part I: Example


Required
10
Required
20
Required
10
Required
10
Required
20
Required
20
Required
20
Required
20
Required
20
Required
20
Required
20

How Compound Interest works in Savings Accounts

Watch the introduction Video and answer the tutorial questions.

Question 1
1.

Question 2
2.

Question 3
3.

Question 4
4.

Part II: Practice Problems

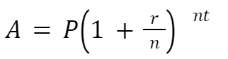
Complete the following practice problems and show your work in the space provided. Be sure to show your work for full credit. Remember the formula for calculating compound interest:

A= Total Savings (this is what we are solving for)
P= Intial Investment (what did you start with)
r= Interest Rate (make sure you convert it to decimal form)
n= How many times a year you get an interest payment
t= How many years your money stays in the account
Question 5
5.
Cooper is opening an online savings account to hold the $20,000 he made from selling his car. The online account pays 1.5% interest compounded monthly. Cooper decides to get an e-bike, so he can use this money to start saving for a house down payment. If Cooper does not deposit or withdraw any money from the account, how much will be in the account in 5 years?

What are the necessary values to answer this question?
P=_______
r=_______
n=_______
t=_______
Question 6
6.

Cooper is opening an online savings account to hold the $20,000 he made from selling his car. The online account pays 1.5% interest compounded monthly. Cooper decides to get an e-bike, so he can use this money to start saving for a house down payment. If Cooper does not deposit or withdraw any money from the account, how much will be in the account in 5 years?


Question 7
7.

If Cooper decides not to use this money for a down payment and leaves it in the account for 25 years, how much will be in the account then?


Question 8
8.

Do you think Cooper should leave the money in the Savings account for 25 years?

Question 9
9.

Lili has saved $2,500 money from her part-time job at a bakery. Since she will not need this money for a few years, she decides to put the money in a 3-year CD (Certificate of Deposit) at a local credit union. The credit union offers Lili 2.75% APR, compounded quarterly. How much will Lili’s CD be worth at the end of the 3 years?


Question 10
10.

Gail has $5,500 that she wants to put in a new savings account. She is considering two banks that are very similar. One difference she notices are the interest rates:
  • Neighborhood Bank - 1.2% interest, compounded annually
  • Beautiful Day Bank - 1.2% interest, compounded daily
Based on interest, which bank would you suggest Gail pick if she plans to have her money in the account for 15 years?


Part III: Reflection

Question 11
11.

Refer back to Question #9. If Lili had invested her money in a CD (Special High-Interest Savings Account) in the 1980’s (when CDs had the highest rates in modern history) she could have received an interest rate of 11%. How much more money would Lili have earned in the 1980’s compared to now?

Question 12
12.

You have used the formula:
to calculate compound interest. Without a change in the interest rate, how could you increase the amount of money you earn while your money is in a savings account?

Here is a list of the best high-yield CDs available as of September 2022. Use this chart to answer the following questions.

Question 13
13.

If you only had 200 dollars to start a CD account. Which bank would you choose and why? UCS

Question 14
14.

Assume you have $500 and you have a savings goal of 3 years. What is the most money you could make in profit if you used a bank on this list?

Question 15
15.

Assume you have $500 and you have a savings goal of 5 years. What is the most money you could make in profits if you used a bank on this list?

If your account compounds on a daily basis, which variable would you plug into the formula?
n = 365
r = 4
r = 52
n = 12
How do you convert a percent to a decimal?
Add a zero after the percent
Moving the decimal over to the right twice
Changing the percent sign into a decimal point in the same spot
Moving the decimal over to the left twice
When evaluating inside the parenthesis, which operation should you carry out first?
Multiplication
Addition
Division
Which of the following options would INCREASE the total amount?
Less time of money in the account
Account compounded quarterly
Lower interest rate
Higher interest rate