LCHS 1st Term Review Algebra 1 9/29/2022
star
star
star
star
star
Last updated about 3 years ago
56 questions
1
1
1
1
1
1
1

Required
1
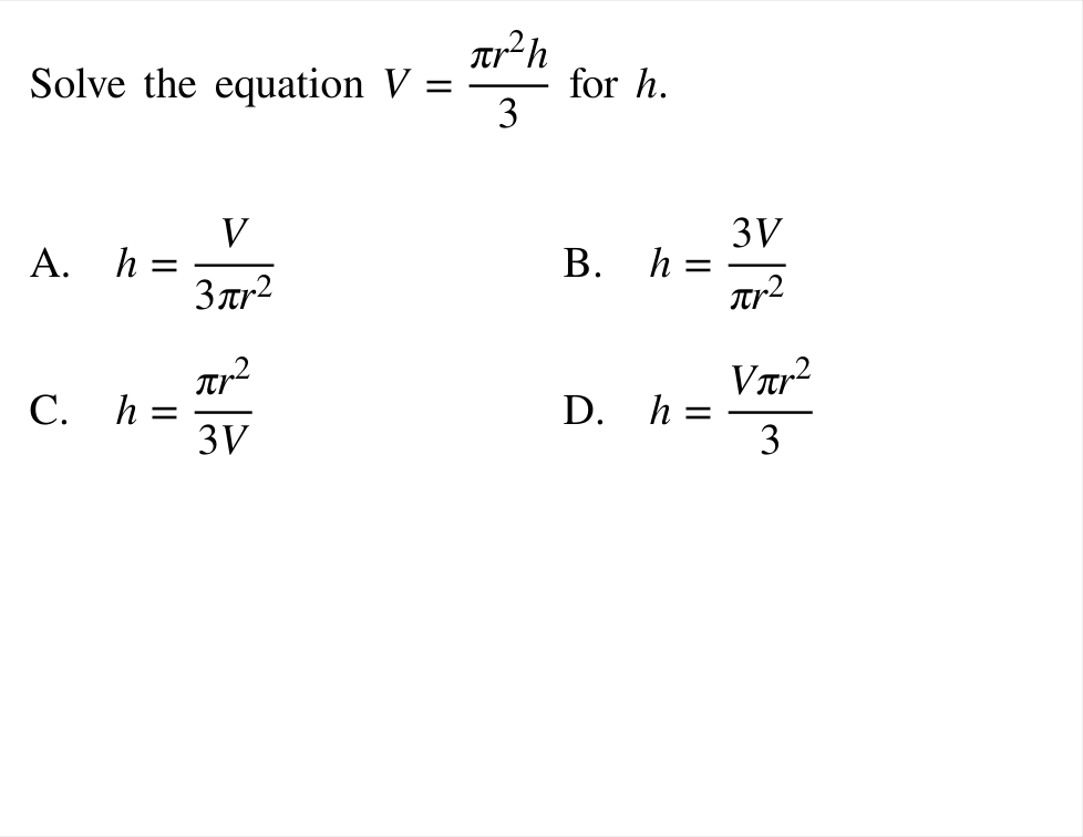
question 15
question 15

Required
1
Question 14
Question 14

Required
1
Question 55
Question 55

Required
1
Question 9
Question 9
Required
1
Required
1
Required
1
Required
1

10

10

Required
1

Required
1

Required
1
Required
1
Required
1
Required
1
Required
1
Required
1
-4 | 0 | Infinite Solution | No Solution | |
|---|---|---|---|---|
Required
1

Required
1

Required
1
Required
1
Required
1
1
1
1
1
1
Which represents the function used to find any term,x, of the sequence2,6,18, ......?
Which represents the function used to find any term,x, of the sequence
2,6,18, ......?

1

1

1

1

1

1

1

1

1
Select TWO
Select TWO

1

1

1

1

1

1

1
Select THREE
Select THREE

1

1

1

1
Function | Not a function | |
|---|---|---|
-3 | ||
-2 | ||
1 | ||
2 | ||
3 |

1