SY2023 1st Nine Weeks Final Exam GEN
star
star
star
star
star
Last updated about 3 years ago
35 questions
Note from the author:
Evans Middle School

Required
1
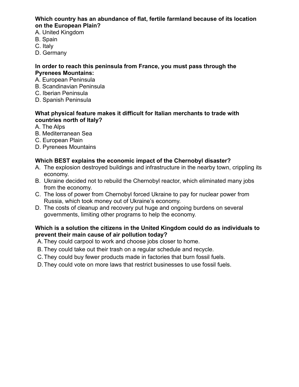
Select the BEST choice for the question shown.
Select the BEST choice for the question shown.
Required
1
Select the BEST choice for the question shown.
Select the BEST choice for the question shown.
Required
1
Select the BEST choice for the question shown.
Select the BEST choice for the question shown.
Required
1
Select the BEST choice from the options shown.
Select the BEST choice from the options shown.
Required
1
Select the BEST choice from the options shown.
Select the BEST choice from the options shown.
Required
1
Select the BEST choice from the options shown.
Select the BEST choice from the options shown.
Required
1
Select the BEST choice from the options shown.
Select the BEST choice from the options shown.
Required
1
Select the BEST choice from the options shown.
Select the BEST choice from the options shown.
Required
1
Select the BEST choice from the options shown.
Select the BEST choice from the options shown.

Required
1
Select the BEST choice from the options shown.
Select the BEST choice from the options shown.
Required
1
Select the BEST choice from the options shown.
Select the BEST choice from the options shown.
Required
1
Select the BEST choice from the options shown.
Select the BEST choice from the options shown.
Required
1
Select the BEST choice from the options shown.
Select the BEST choice from the options shown.
Required
1
Select the BEST choice from the options shown.
Select the BEST choice from the options shown.
Required
1
Select the BEST choice from the options shown.
Select the BEST choice from the options shown.
Required
1
Select the BEST choice from the options shown.
Select the BEST choice from the options shown.

Required
1
Select the BEST choice from the options shown.
Select the BEST choice from the options shown.
Required
1
Select the BEST choice from the options shown.
Select the BEST choice from the options shown.
Required
1
Select the BEST choice from the options shown.
Select the BEST choice from the options shown.
Required
1
Select the BEST choice from the options shown.
Select the BEST choice from the options shown.
Required
1
Select the BEST choice from the options shown.
Select the BEST choice from the options shown.

Required
1
Select the BEST choice from the options shown.
Select the BEST choice from the options shown.
Required
1
Select the BEST choice from the options shown.
Select the BEST choice from the options shown.

Required
1
Select the BEST choice from the options shown.
Select the BEST choice from the options shown.
Required
1
Select the BEST choice from the options shown.
Select the BEST choice from the options shown.
Required
1
Select the BEST choice from the options shown.
Select the BEST choice from the options shown.

Required
1
Select the BEST choice from the options shown.
Select the BEST choice from the options shown.
Required
1
Select the BEST choice from the options shown.
Select the BEST choice from the options shown.
Required
1
Select the BEST choice from the options shown.
Select the BEST choice from the options shown.
Required
1
Select the BEST choice from the options shown.
Select the BEST choice from the options shown.
Required
1
Select the BEST choice from the options shown.
Select the BEST choice from the options shown.

Required
1
Select the BEST choice from the options shown.
Select the BEST choice from the options shown.
Required
1
Select the BEST choice from the options shown.
Select the BEST choice from the options shown.

Required
1
10
OPTIONAL - Potential 10 bonus pointsRead and address all parts of the question shown.
OPTIONAL - Potential 10 bonus points
Read and address all parts of the question shown.