Log in
Sign up for FREE
arrow_back
Library
10/12/2022-HW Unit 2B Test Review
By Melanie S Boyd
star
star
star
star
star
Share
share
Last updated almost 3 years ago
29 questions
Add this activity
1
1
1
1
1
1
1
1
1
1
1
1
1
1
1
1
1
1
1
1
1
1
1
1
1
1
1
1
1
DESMOS CALCULATOR
https://www.desmos.com/testing/virginia/scientific
Quadratic Formula:
Question 1
1.
visibility
View drawing
Question 2
2.
visibility
View drawing
Question 3
3.
Simplify:
visibility
View drawing
Question 4
4.
Simplify:
visibility
View drawing
Question 5
5.
Simplify:
visibility
View drawing
Question 6
6.
Simplify:
visibility
View drawing
Question 7
7.
Simplify:
visibility
View drawing
Question 8
8.
Simplify:
visibility
View drawing
Question 9
9.
Solve by
graphing
visibility
View drawing
Question 10
10.
Solve by
substitution
. Show your work!!
visibility
View drawing
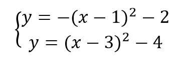
Question 11
11.
Simplify:
Then choose from the following to create the real and imaginary portion of the what you simplify:
a=__________
visibility
View drawing
Question 12
12.
Simplify:
Then choose from the following to create the real and imaginary portion of the what you simplify:
b=__________
visibility
View drawing
Question 13
13.
Solve over the set of complex numbers:
(this just means solve and finish your solution as an imaginary solution)
visibility
View drawing
Question 14
14.
Solve:
visibility
View drawing
Question 15
15.
Find the discriminant of
visibility
View drawing
Question 16
16.
Given the nature of the discriminant from the last problem...
What type of root will result?
2 real roots
1 real root
2 imaginary roots
visibility
View drawing
Question 17
17.
Which of the following describes the nature of the roots of the function whose graph is shown above?
2 real roots
1 real root
2 imaginary roots
visibility
View drawing
Question 18
18.
Solve
AND REDUCE
over the set of complex numbers:
visibility
View drawing
Question 19
19.
Solve over the set of complex numbers:
visibility
View drawing
Question 20
20.
Given:
Find the value of the discriminant:
visibility
View drawing
Question 21
21.
Use your answer for the discriminant in #19 to determine the number and nature of roots:
2 real roots
1 real root
2 imaginary roots
visibility
View drawing
Question 22
22.
Solve by
graphing
visibility
View drawing
Question 23
23.
Solve by
substitution
visibility
View drawing
Question 24
24.
remember to use -b/2a... then substitute that back into the equation to get your answer
visibility
View drawing
Question 25
25.
(note: this is the same rocket as #23!)---this time you're using quadratic formula to solve...use the positive solution as your answer)
visibility
View drawing
Question 26
26.
upload your pages of work here--page 1
visibility
View drawing
Question 27
27.
upload your pages of work here--page 2
visibility
View drawing
Question 28
28.
upload your pages of work here--page 3
visibility
View drawing
Question 29
29.
upload your pages of work here--page 4
visibility
View drawing
is the equivalent to which of the following (choose all the apply!!)
1
-1
is the equivalent to which of the following (choose all the apply!!)
1
-1
1 imaginary root
1 imaginary root
1 imaginary root