Log in
Sign up for FREE
arrow_back
Library
10/13/2022-Unit 2B Test
By Melanie S Boyd
star
star
star
star
star
Share
share
Last updated almost 3 years ago
26 questions
Add this activity
Note from the author:
Instructions
4
4
4
4
4
4
4
6
8
4
5
6
4
2
6
6
3
3
Remember, if you do not show on work on problems requiring work,
you will not receive credit.
Desmos Calculator: https://www.desmos.com/testing/virginia/scientific
Quadratic Formula:
Remember, if you do not show on work on problems requiring work,
you will not receive credit.
Desmos Calculator: https://www.desmos.com/testing/virginia/scientific
Quadratic Formula:
Question 1
1.
visibility
View drawing
Question 2
2.
Simplify:
visibility
View drawing
Question 3
3.
Simplify:
visibility
View drawing
Question 4
4.
Simplify:
visibility
View drawing
Question 5
5.
Simplify:
visibility
View drawing
Question 6
6.
Simplify
visibility
View drawing
Question 7
7.
Simplify:
visibility
View drawing
Question 8
8.
Solve by
graphing
visibility
View drawing
Question 9
9.
Solve by
substitution
. Show your work!!
visibility
View drawing
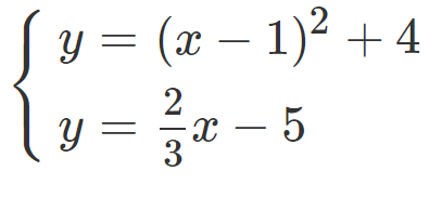
Question 10
10.
visibility
View drawing
Question 11
11.
Solve over the set of complex numbers:
visibility
View drawing
Question 12
12.
Solve:
visibility
View drawing
Question 13
13.
Find the discriminant of
visibility
View drawing
Question 14
14.
visibility
View drawing
Question 15
15.
Solve
AND REDUCE
over the set of complex numbers:
visibility
View drawing
Question 16
16.
Solve over the set of complex numbers:
visibility
View drawing
These questions go together:
4
2
Question 19
19.
visibility
View drawing
Question 20
20.
visibility
View drawing
21
22
23
24
25
26
zoom_in
2
2
2
2
2
3
is the equivalent to which of the following (choose all the apply!!)
1
-1
Simplify:
Then choose from the following to create the real and imaginary portion of the what you simplify:
a=__________
b=__________
(just choose the correct values below that you found when simplifying and include their correct sign)
-21
-20
-4
0
4
20
21
Which of the following describes the nature of the roots of the function whose graph is shown above?
2 real roots
1 real root
2 imaginary roots
1 imaginary root
Question 17
17.
Given the function:
Find the discriminant.
visibility
View drawing
Question 18
18.
visibility
View drawing
Question 21
21.
What is h?
Question 22
22.
What is k?
Question 23
23.
What is the increasing interval?
(remember that you're using x values...where, in relation to x, is the graph going up?)
Question 24
24.
What is the decreasing interval?
(remember that you're using x values...where, in relation to x, is the graph going down?)
Question 25
25.
What is the range?
Question 26
26.
What is the solution set of this equation? (using { } )
visibility
View drawing
Given the function:
Use the discriminate you found to determine the number and type of root.
2 real roots
1 real root
2 imaginary roots
1 imaginary root