10/11/2022-HW Systems & Review
star
star
star
star
star
Last updated over 2 years ago
20 questions
1
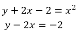
Solve the following system by graphing:
Input your answer as point(s) or no solution. (x,y)(x,y) IF THERE IS MORE THAN ONE SOLUTION, DO NOT PUT A SPACE BETWEEN POINTS!!!
Show your graph!!
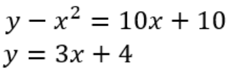
Solve the following system by graphing:
Input your answer as point(s) or no solution. (x,y)(x,y)
IF THERE IS MORE THAN ONE SOLUTION, DO NOT PUT A SPACE BETWEEN POINTS!!!
Show your graph!!
1
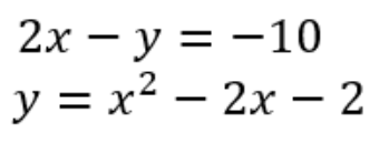
Isolate the y in each equation and then solve the following system by graphing: Input your answer as point(s) or no solution. (x,y)(x,y) IF THERE IS MORE THAN ONE SOLUTION, DO NOT PUT A SPACE BETWEEN POINTS!!!
Isolate the y in each equation and then solve the following system by graphing:
Input your answer as point(s) or no solution. (x,y)(x,y)
IF THERE IS MORE THAN ONE SOLUTION, DO NOT PUT A SPACE BETWEEN POINTS!!!
1
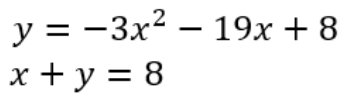
Isolate the y in each equation and then solve the following system by graphing:
Input your answer as point(s) or no solution. (x,y)(x,y) IF THERE IS MORE THAN ONE SOLUTION, DO NOT PUT A SPACE BETWEEN POINTS!!!
Show your graph!!
Isolate the y in each equation and then solve the following system by graphing:
Input your answer as point(s) or no solution. (x,y)(x,y)
IF THERE IS MORE THAN ONE SOLUTION, DO NOT PUT A SPACE BETWEEN POINTS!!!
Show your graph!!
1
Solve the following system algebraically by substitution: Input your answer as point(s) or no solution. (x,y)(x,y) IF THERE IS MORE THAN ONE SOLUTION, DO NOT PUT A SPACE BETWEEN POINTS!!!
Show your work for credit!!!
Solve the following system algebraically by substitution:
Input your answer as point(s) or no solution. (x,y)(x,y)
IF THERE IS MORE THAN ONE SOLUTION, DO NOT PUT A SPACE BETWEEN POINTS!!!
Show your work for credit!!!
1
Solve the following system algebraically by substitution:
Input your answer as point(s) or no solution. (x,y)(x,y) IF THERE IS MORE THAN ONE SOLUTION, DO NOT PUT A SPACE BETWEEN POINTS!!!
Show your work!! (note: one of these solutions will contain fractions!)
Solve the following system algebraically by substitution:
Input your answer as point(s) or no solution. (x,y)(x,y)
IF THERE IS MORE THAN ONE SOLUTION, DO NOT PUT A SPACE BETWEEN POINTS!!!
Show your work!! (note: one of these solutions will contain fractions!)
1
Solve the following system algebraically by substitution: Input your answer as point(s) or no solution. (x,y)(x,y) IF THERE IS MORE THAN ONE SOLUTION, DO NOT PUT A SPACE BETWEEN POINTS!!!
Solve the following system algebraically by substitution:
Input your answer as point(s) or no solution. (x,y)(x,y)
IF THERE IS MORE THAN ONE SOLUTION, DO NOT PUT A SPACE BETWEEN POINTS!!!
1
Solve the following system algebraically by substitution: Input your answer as point(s) or no solution. (x,y)(x,y) IF THERE IS MORE THAN ONE SOLUTION, DO NOT PUT A SPACE BETWEEN POINTS!!!
Solve the following system algebraically by substitution:
Input your answer as point(s) or no solution. (x,y)(x,y)
IF THERE IS MORE THAN ONE SOLUTION, DO NOT PUT A SPACE BETWEEN POINTS!!!
1
Solve the following quadratic equation using any method, but show your work for credit. Input your answers as we have done in the past few assignments. Refer to those rules inside the previous assignment if you're not sure.
Solve the following quadratic equation using any method, but show your work for credit.
Input your answers as we have done in the past few assignments. Refer to those rules inside the previous assignment if you're not sure.
1
Solve the following quadratic equation using any method, but show your work for credit. Input your answers as we have done in the past few assignments. Refer to those rules inside the previous assignment if you're not sure.
Solve the following quadratic equation using any method, but show your work for credit.
Input your answers as we have done in the past few assignments. Refer to those rules inside the previous assignment if you're not sure.
1
Solve the following quadratic equation using any method, but show your work for credit. Input your answers as we have done in the past few assignments. Refer to those rules inside the previous assignment if you're not sure.
Solve the following quadratic equation using any method, but show your work for credit.
Input your answers as we have done in the past few assignments. Refer to those rules inside the previous assignment if you're not sure.
1
Solve the following quadratic equation using any method, but show your work for credit. Input your answers as we have done in the past few assignments. Refer to those rules inside the previous assignment if you're not sure.
Solve the following quadratic equation using any method, but show your work for credit.
Input your answers as we have done in the past few assignments. Refer to those rules inside the previous assignment if you're not sure.
1
Solve the following quadratic equation using any method, but show your work for credit.
Input your answers as we have done in the past few assignments. Refer to those rules inside the previous assignment if you're not sure.
Solve the following quadratic equation using any method, but show your work for credit.
Input your answers as we have done in the past few assignments. Refer to those rules inside the previous assignment if you're not sure.
1
Simplify. Input your answer as
Simplify.
Input your answer as
1
Simplify. Input your answer as
Simplify.
Input your answer as
1
Simplify.
Simplify.
1
Simplify.
Simplify.
1
upload your pages of work here--page 1
upload your pages of work here--page 1
1
upload your pages of work here--page 2
upload your pages of work here--page 2
1
upload your pages of work here--page 3
upload your pages of work here--page 3
1
upload your pages of work here--page 4
upload your pages of work here--page 4



