Log in
Sign up for FREE
arrow_back
Library
Radicali 1
By Tibi Barta
star
star
star
star
star
Share
share
Last updated over 3 years ago
8 questions
Add this activity
10
10
10
10
10
10
20
20
Question 1
1.
Question 2
2.
Question 3
3.
Question 4
4.
Question 5
5.
Question 6
6.
Question 7
7.
visibility
View drawing
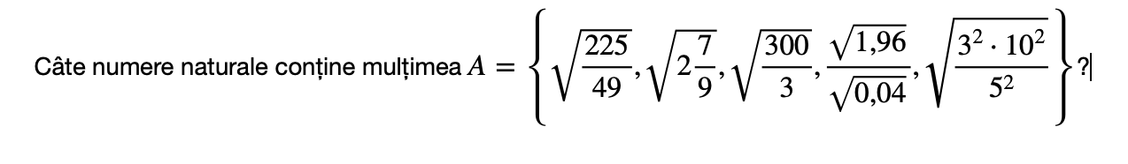
Question 8
8.
visibility
View drawing
A) 2 cifre;
B) 3 cifre;
C) 4 cifre;
D) 5 cifre