Log in
Sign up for FREE
arrow_back
Library

DoDEA 5G Unit 2 End of Unit

star
star
star
star
star
Last updated over 3 years ago
10 questions
1
1
1
1
1
1
1
1
1
1
Question 1
1.

Question 2
2.

Question 3
3.

Question 4
4.

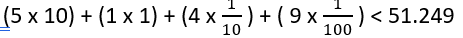
Two numbers are shown.



Write the values in standard form and compare them using <, >, or =.

Question 5
5.

Question 6
6.

Question 7
7.
Round 192.387 to the nearest hundredth. Type your answer into the blank.

_______
Question 8
8.

What is the value of the expression 4.82 + 3.18?

Explain your thinking with words, numbers, and/or models

Question 9
9.

Question 10
10.
What is the value of the variable?

5.6 – N = 2.56
N = _______

Find the value of the unknown variable. Explain how to find the unknown value of the variable with words, numbers and /or models using the space provided.
1. The value of the 4 in 3.254 is ________ times the value of the 4 in 634.239.
100
1,000
1/100
1/1000
1. Select the three true statements.
The value of the 5 in 2.5 is 1/10 of the value of the 5 in 2.05.
The value of the 6 in 3.06 is 1/10 of the value of the 6 in 3.60.
The value of the 7 in 7.04 is 10 times the value of the 7 in 4.70.
The value of the 8 in 6.38 is 10 times the value of the 8 in 3.86.
The value of the 9 in 94.1 is 100 times the value of the 9 in 320.941
Select the two statements that correctly compare two numbers.
45.567 > 45.6
4.091 < four and ninety-one hundredths
4.105 > four hundred ten and five thousandths
What is 67.349 rounded to the ones place?
66.3
67
67.3
68
What is 67.349 rounded to the tenths place?
67.3
67.35
67.4
70
Which two expressions have a value of 2.5?
1.25 + 1.52
1.07 + 1.43
6.5 – 4.05
12.08 – 9.58
12.8 – 10.03