Exercices - Révision algèbre
star
star
star
star
star
Last updated 5 months ago
13 questions
Simplification algébrique ( + , - )
1
Simplifie l'expression algébrique suivante:
Simplifie l'expression algébrique suivante:
1
Simplifie l'expression algébrique suivante:
Simplifie l'expression algébrique suivante:
1
Simplifie l'expression algébrique suivante:
Simplifie l'expression algébrique suivante:
1
Simplifie l'expression algébrique suivante:
Simplifie l'expression algébrique suivante:
1
Simplifie l'expression algébrique suivante:
Simplifie l'expression algébrique suivante:
1
Simplifie l'expression algébrique suivante:
Simplifie l'expression algébrique suivante:
1
Simplifie l'expression algébrique suivante:
Simplifie l'expression algébrique suivante:
1
Simplifie l'expression algébrique suivante:
Simplifie l'expression algébrique suivante:
1
Simplifie l'expression algébrique suivante:
Simplifie l'expression algébrique suivante:
1
Simplifie l'expression algébrique suivante:
Simplifie l'expression algébrique suivante:
1
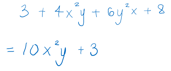
Voici une simplification algébrique:
Explique les 2 erreurs commises lors de la simplification.
Voici une simplification algébrique:
Explique les 2 erreurs commises lors de la simplification.
1
Comment peux-tu expliquer que les 2 élèves arrivent avec des expressions différentes, mais qu'elles sont aussi bonnes l'une que l'autre ?
Comment peux-tu expliquer que les 2 élèves arrivent avec des expressions différentes, mais qu'elles sont aussi bonnes l'une que l'autre ?
1
Donne une expression algébrique qui permet de calculer le nombre de chiens pour n'importe quel motif de cette suite.
Fais vérifier ta réponse par ton enseignante !
Donne une expression algébrique qui permet de calculer le nombre de chiens pour n'importe quel motif de cette suite.
Fais vérifier ta réponse par ton enseignante !