Log in
Sign up for FREE
arrow_back
Library

2nd - Solving Systems by Elimination

star
star
star
star
star
Last updated over 3 years ago
3 questions
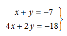
You will solve ONE system of equations by elimination in 3 steps, outlined below. The work you do in items 1 and 2 can and should be used in the following steps to solve the system.
1
1
1
Question 1
1.

Question 2
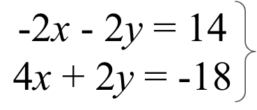
2.

Now that you have modified the first equation for elimination, the second step is to add the two equations together and solve for x. Enter your solution for x below.

Question 3
3.

Finish solving the system by elimination. Enter your solution as an ordered pair (x,y).

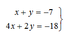
Which is a possible FIRST step to solve the system using elimination?
Add the equations together.
Solve for x.
Multiply the first equation by -2.
Substitute the x value into one of the original equations.