Log in
Sign up for FREE
arrow_back
Library

3.2 Intro to Credit Cards (Due 10/18/22 SoC)

star
star
star
star
star
Last updated about 1 year ago
42 questions
Note from the author:
In this lesson, you will learn to:
  • Explain how a credit card works in terms of making purchases and managing payments
  • Read a Schumer box and identify how terms of the card impact total cost of purchases
  • Understand how interest is charged and how to avoid or minimize it
  • Read a credit card statement
Complete the entire document and use full sentences when prompted for full credit.
In this lesson, you will learn to:
  • Explain how a credit card works in terms of making purchases and managing payments
  • Read a Schumer box and identify how terms of the card impact total cost of purchases
  • Understand how interest is charged and how to avoid or minimize it
  • Read a credit card statement
Complete the entire document and use full sentences when prompted for full credit.
Required
10
Required
50
Required
30
Required
30
Required
10
Required
20
Required
10
Required
10
Question 1
1.

Do you think it’s a good idea for high school students to have a credit card? What about college students? Adults? Explain why you feel this way.

Students and Credit Cards

Answer the questions on the right.

Required
10
Question 2
2.

After hearing the opinions of the students in this video, do you think YOU would want a credit card in college? Why or why not?

Credit Card Basics

Watch this video and then answer the questions on the right.

Required
10
Question 3
3.

What is the difference between credit & debit? UCS

15
Question 4
4.
What are the three types of credit? UCS

1._______
2._______
3._______
15
Question 5
5.
List three benefits of using a credit card for purchases. UCS

1._______
2._______
3._______

Credit Card Debt Explained

Watch this video and answer the questions on the right.

Required
10
Question 6
6.

How can you avoid paying interest on your credit card?

Required
10
Question 7
7.

Explain what happens if you make the minimum payment every month?

Required
10
Question 8
8.

How does the credit card companies' definition of a deadbeat compare to the traditional meaning?

Day 2 10/13/22

Decipher Credit Card Offers With the Schumer Box

Review this reference sheet and answer the questions on the right.




Required
10
Question 9
9.

This credit card offer has a one year introductory offer. After that what does the interest rate go up to?

Required
10
Question 10
10.

What happens to the APR (interest rate) if you make a late payment?

Required
10

CALCULATE: Shopping with Interest

These questions will illustrate how even smaller purchases cost more when you purchase on a credit card and do not pay the balance in full each month. For this activity, we will use the credit card calculator from bankrate.com; open it in another window. We also make these assumptions:
  • Your credit card’s interest rate (APR) is 19.9%.
  • The minimum payment due each month is 3% of your starting balance.
Required
10
Required
15
Required
15
Required
10
Required
20

Day 3 10/17/22

COMPARE: Select a Credit Card

When you are trying to open a new financial account/product of any type, there are two core principles you should keep in mind:
  • Brainstorm which features or criteria matter most to you, personally, for how you plan to use the account/product
  • Comparison shop to see which accounts or financial products best meet your specific needs
You can use these principles for any type of account/product -- checking, savings, credit card, mortgage, student loan, brokerage account, health insurance etc.
Steps for Comparison Shopping for a Credit Card
  1. Brainstorm features/criteria you value in the Credit
  2. Rank your top 3 or 4 features/criteria
  3. Pick credit cards to research & compare
  4. Complete a decision matrix
  5. Make your choice!
Question 17
17.

Brainstorm features/criteria you value in the credit offers you found online. These questions may help get you thinking:
  • Do you care more about avoiding fees/costs, accumulating perks, convenience, etc?
  • Will you access your account/product primarily online or do you need in-person access?
  • Do you prefer a large, well-known financial institution or more of a small-business feel?
  • What are the interest rates?

Question 18
18.
Rank the top 3 features/criteria that matter most to you.
  1. _______
  2. _______
  3. _______
Question 19
19.
Pick 3 Credit Card offers online to research & compare
These will be credit cards offered by banks, credit unions, credit card companies, loan providers, insurance companies, etc
  1. _______
  2. _______
  3. _______
Question 20
20.

Complete a decision matrix Conduct online research on how each account/product compares for each of the features/criteria that matter to you. You may need to dig into the agreement to find specific terms.

Day 4 10/19/22

Exploration: Compound Interest Formula and Credit Cards

Using the Compound Interest Formula

Now that we have a formula that can be used to calculate balances that use compound interest, let’s put it into practice.
If Alana has a loan balance of $12,000 that is compounded monthly at a rate of 4.5%. Assuming that she makes no payments on the account, what will her balance be in 4 years?
Required
25
Required
25
Required
25
Required
25
Required
25
Required
5
Required
5
Required
5
Required
5

CALCULATE: Calculating Interest

Interest on a loan can be calculated in a variety of ways. Examine the two tables and use them to answer the questions to the right.



Required
10
Question 30
30.

Briefly describe how each month’s interest is calculated in Table 1.

Required
10
Required
5
Required
5

Day 5 10/20/22

VIDEO: APR vs APY

When shopping for a loan, you may see the terms APR and APY. What are these terms and how do they apply to compound interest? Watch the video at the top of the linked article, then use it to answer the questions
Required
10
Question 34
34.

What do APR and APY stand for?

Required
10
Question 35
35.

What is the key difference between APR and APY?

Example

If a loan charges 1% interest per month, what is its APR and APY?

APR = 1% · 12 = 12%
APR is 12%




APY = 0.1268
APY is 12.68%.
Required
20
Question 36
36.
Shawn knows that his student loan interest is calculated at a rate of 0.35% per month.

What is Shawn’s APR? _______

What is Shawn’s APY? _______

Which of the percentages represents the actual cost that Shawn will pay for his student loans if he makes no payments? _______


Required
10

Scenario 1:

Alonso bought a $3,000 gaming computer using his credit card. A special financing offer allows him to make no payments for 2 years but interest will still accrue at a rate of 16.92% APR and be added to the bill if he doesn't pay full balance in 2 years.
Question 38
38.
Use the compound interest formula to calculate Alonso’s balance after 2 years using each compounding period, assuming he makes no payments. Write your answer in the Account Balance column.



Compounding Period

Yearly-_______

Semiannually-_______

Monthly-_______

Daily-_______
Question 39
39.

How much more is Alonso paying by having his interest compounded daily versus yearly?

Question 40
40.

How does the frequency of compounding impact the overall cost of Alonso’s total interest?

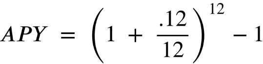
Now let’s calculate the APY of each compounding period to see what percentage rate Alonso is actually paying annually. Recall the formula:

Required
10
Question 41
41.
What would Alonso's interest rate change to if he had to APY instead of APR?


Compounding Period

Yearly-_______

Semiannually-_______

Monthly-_______

Daily-_______
Required
10
Question 42
42.

Most credit cards are compounded monthly or daily, which means that Alonso is paying about 1.5% more annually than the advertised APR. What effect could this knowledge have had on Alonso’s purchasing decisions?

Question 11
11.

What is the penalty fee if you make a late payment? (Assume that you have more than a $1000 balance.)

Question 12
12.

Suppose you have a credit card bill of $1,275 for the month of October. If you pay the full balance before your bill is due, how much will you pay in interest?


Question 13
13.
With your bill paid off and starting back at $0, the latest video game comes out and costs $60. You put it on your credit card and can’t afford to pay the whole bill all at once, so you make the minimum payment each month.

How much is that minimum payment? _______

Use the credit card calculator to determine how much total interest you’ll pay on this debt. _______


If you make the minimum payment only, how much will the game cost in total when you get done paying for it with the credit card? _______


Question 14
14.
Assume your balance is back at $0. You desperately want a TV for your bedroom, but you don’t have any money saved. You put the $229 TV on your credit card and make the minimum monthly payment each month.

How much is that minimum payment? _______

Use the credit card calculator to determine how much total interest you’ll pay on this debt. _______


When you include the purchase price and the interest, how much does the TV cost you in total? _______


Question 15
15.

Summarize the effect of credit card interest on the real cost of items.

Question 16
16.
What are two strategies consumers can use to reduce the amount of interest they’ll pay on credit card debt?
1._______
2._______
Review the completed example below.


Question 21
21.
Carmine takes a loan for $11,500 at a rate of 8% that is compounded quarterly. Assuming she makes no payments for the first 2 years, what is her loan balance (A)?
P=_______
r=_______
n=_______
t=_______
A=_______

Question 22
22.
Marko has a credit card balance of $875 that is compounded daily at an annual percentage rate (APR) of 19.62%. If he makes no payments, what will his balance be in 2 years (A)?
P=_______
r=_______
n=_______
t=_______
A=_______

Question 23
23.
Bethany has $37,525 in student loans that accumulate interest at 3.73% annualized interest that is compounded monthly. If she starts making payments in 4 years, what will her loan balance be (A)?
P=_______
r=_______
n=_______
t=_______
A=_______

Question 24
24.
Camilla took a $23,500 secured auto loan that allows her to make no payments for 18 months. If interest is still compounded monthly at a rate of 6.3%, what will her balance be in 18 months when she starts making payments (A)?
P=_______
r=_______
n=_______
t=_______
A=_______

Question 25
25.
Shawn’s mortgage balance of $263,000 is compounded daily at a rate of 4.075% annualized interest. If no payments are made for 6 months, what will the balance be after this time has passed (A)?
P=_______
r=_______
n=_______
t=_______
A=_______

Question 26
26.

Use the following information to calculate the total balance after interest is calculated.

P = $5000
r = 6.25%
Compounded daily for 5 years

Question 27
27.

Use the following information to calculate the total balance after interest is calculated.

P = $8,500
r = 3.175%
Compounded monthly for 10 years

Question 28
28.

Use the following information to calculate the total balance after interest is calculated.

P = $28,000
r = 9%
Compounded annually for 5 years

Question 29
29.

Use the following information to calculate the total balance after interest is calculated.

P = $275
r = 6.25%
Compounded daily for 20 years

Question 31
31.

How is Table 2’s calculation different?

Question 32
32.

Would you prefer Table 1 or Table 2 if you were earning interest on an investment? Explain your answer.

Question 33
33.

Would you prefer Table 1 or Table 2 if you were being charged interest on a credit card or loan? Explain your answer.

Question 37
37.

Take a look at the following advertisements for financial products.



Why does the savings account advertise using APY while the credit card advertises using APR?