Log in
Sign up for FREE
arrow_back
Library

10/14/2022-HW Operations with Polynomials

star
star
star
star
star
Last updated almost 3 years ago
17 questions
1
1
1
1
1
1
1
1
1
1
1
1
1
1
1
1
1
Question 1
1.

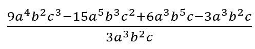
Simplify:

Question 2
2.

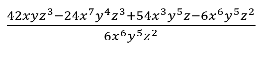
Simplify:

Question 3
3.

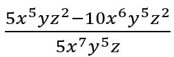
Simplify:

Question 4
4.

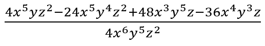
Simplify:

Question 5
5.

Simplify:

Question 6
6.

Simplify:

Question 7
7.

Simplify:

Question 8
8.

Simplify:
Inputting this answer is a bit painful, so if you'd prefer not too, I'm ok with that. Just ensure you show your work either here or at the end of the assignment. That said, the correct answers are in the system, so you may want to input to check. Your call.

Question 9
9.

Simplify:

Question 10
10.

Simplify:
Inputting this answer is a bit painful, so if you'd prefer not too, I'm ok with that. Just ensure you show your work either here or at the end of the assignment. That said, the correct answers are in the system, so you may want to input to check. Your call.

Question 11
11.

Simplify:

Question 12
12.

Simplify:

Question 13
13.

Simplify:

Question 14
14.

Simplify:

Question 15
15.

upload your pages of work here--page 1

Question 16
16.

upload your pages of work here--page 2

Question 17
17.

upload your pages of work here--page 3