Log in
Sign up for FREE
arrow_back
Library
10/17/2022-Warm Up
By Melanie S Boyd
star
star
star
star
star
Share
share
Last updated almost 3 years ago
5 questions
Add this activity
1
Question 1
1.
visibility
View drawing
1
1
1
1
Simplfy:
Question 2
2.
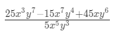
Simplify:
visibility
View drawing
Notice, the answer is a MIXED FRACTION...not a decimal. Now you try (without a calculator!)
Question 3
3.
Use division to represent this as a MIXED FRACTION:
(Note: you'll need to input your answer with a space between the whole number and fraction)
visibility
View drawing
Question 4
4.
Use division to represent this as a MIXED FRACTION:
(Note: you'll need to input your answer with a space between the whole number and fraction)
visibility
View drawing
Question 5
5.
Use division to represent this as a MIXED FRACTION:
(Note: you'll need to input your answer with a space between the whole number and fraction)
visibility
View drawing