Log in
Sign up for FREE
arrow_back
Library
10/26/2022-Unit 3 Polynomials Test
By Melanie S Boyd
star
star
star
star
star
Share
share
Last updated almost 3 years ago
35 questions
Add this activity
Note from the author:
Instructions
4
5
5
3
4
3
3
5
5
5
2
3
3
4
3
3
3
3
3
3
4
3
3
DESMOS
https://www.desmos.com/testing/virginia/scientific
Quadratic Formula
DESMOS
https://www.desmos.com/testing/virginia/scientific
Quadratic Formula
Question 1
1.
Given the graph, choose the correct description:
quartic, leading coefficient negative
cubic, leading coefficient negative
cubic, leading coefficient positive
quartic, leading coefficient positive
Question 2
2.
visibility
View drawing
Question 3
3.
Solve:
visibility
View drawing
Question 4
4.
Given:
The max number of turns of this polynomials is _____.
Question 5
5.
visibility
View drawing
Question 6
6.
A
B
C
visibility
View drawing
Question 7
7.
Given the graph of f(x) , which of the following is true:
(x-1) is a factor of f(x)
The domain of f(x) is
visibility
View drawing
Question 8
8.
Factor completely:
visibility
View drawing
Question 9
9.
Factor completely.
visibility
View drawing
Question 10
10.
Solve.
visibility
View drawing
Question 11
11.
Which of the following has a y-intercept of 3?
Question 12
12.
A
B
C
D
Question 13
13.
A
B
C
D
Question 14
14.
Write the equation of the function graphed above in factored form: (use f(x)= in your answer)
visibility
View drawing
Question 15
15.
Which of the following defines a polynomial function with zeros {-4, 0, 1, 2}
visibility
View drawing
Question 16
16.
(note: the numbers below reference the x-axis)
between -1 and 0
between 1 and 2
between -2 and -1
visibility
View drawing
Question 17
17.
If 5 is a root of the polynomial function f(x), which statement must be true?
The y-intercept for the graph f(x) is (0,5).
The solution of f(x) = 0 is x = -5.
A factor of f(x) is (x-5).
visibility
View drawing
Question 18
18.
A
B
C
visibility
View drawing
Question 19
19.
What are the increasing interval(s)?
visibility
View drawing
Question 20
20.
What are the decreasing interval(s)?
visibility
View drawing
Question 21
21.
Solve:
(input your answer in set notation using { }, please include the complex solutions at the back)
visibility
View drawing
Question 22
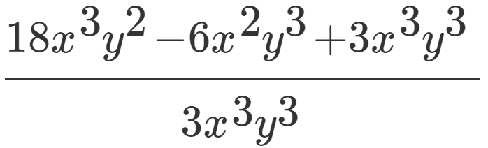
22.
Simplify:
visibility
View drawing
Question 23
23.
Divide the following:
visibility
View drawing
24
25
27
28
26
29
zoom_in
2
Question 24
24.
Given the function, write it in standard form:
(start with f(x)= )
2
2
2
2
2
30
32
31
33
34
35
zoom_in
1
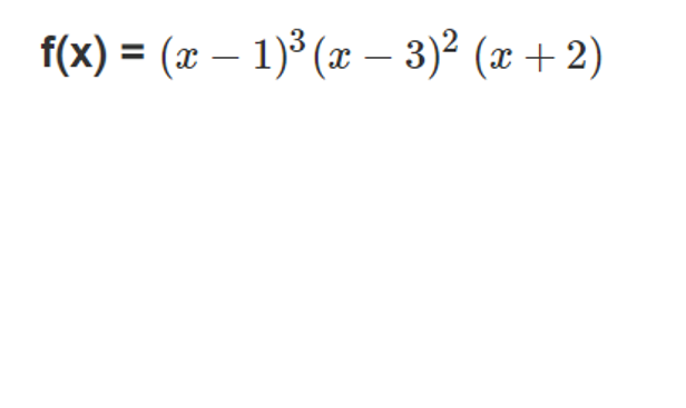
Question 30
30.
The zero 1 has a multiplicity of
1
1
Question 32
32.
1
1
1
What are the factors of the following polynomial?
(choose ALL factors from the list below)
D
f(x) has a relative minimum of -3 at x=3
f(x) decreases on the interval (-2.5, -1)
between 0 and 1
A factor of f(x) is (x+5).
D
Question 25
25.
Given the function, what is the degree?
Question 26
26.
Given the function, what is max number of turns?
Question 27
27.
Given the function, what is the sign of the leading coefficient?
Question 28
28.
Given the function, what is called?
quintic
cubic
quadratic
quartic
Question 29
29.
Given the function, what would the end behavior look like?
both ends down
both ends up
rising
falling
Question 31
31.
The zero 1 will cause a _______.
cross
tangent
inflection
The zero 3 has a multiplicity of
Question 33
33.
The zero 3 will cause a _________.
cross
tangent
inflection
Question 34
34.
The zero -2 has a multiplicity of
Question 35
35.
The zero -2 will cause a _________.
cross
tangent
inflection