Log in
Sign up for FREE
arrow_back
Library

10/25/2022-HW Review for Unit 3 Test

star
star
star
star
star
Last updated almost 3 years ago
29 questions
1
1
1
1
1
1
1
1
1
1
1
1
1
1
1
1
1
1
1
1
1
1
1
1
1
1
1
1
1
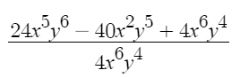
Question 1
1.

Simplify:

Question 2
2.

Divide to find the quotient:

(do not put parentheses around your denominator in your remainder)

Question 3
3.

Divide to find the quotient:

(do not put parentheses around your denominator in your remainder)

Question 4
4.

Given the function, what's the degree?

Question 5
5.

Given the function, what are the maximum turns?

Question 6
6.

Given the function, what is the y-intercept?

Question 7
7.

What is the sign of the leading coefficient?

Question 8
8.

Question 9
9.

Describe the end behavior of this polynomial:

Question 10
10.

Describe the end behavior of this polynomial:

Question 11
11.

What are the increasing intervals? (no spaces please...if there is a zero in front of a decimal, include it in your answer)

Question 12
12.

What are the decreasing intervals? (no spaces please...if there is a zero in front of a decimal, include it in your answer)

FYI...If you're in the middle of this or you're just starting it, I'm going to bed around 10PM tonight, so no feedback after that....we'll have a little time prior to the test, but just a little.
Question 13
13.

What is the solution set of the above polynomial function? (use { } to describe your set)

Question 14
14.

Write the equation of the above polynomial function in FACTORED FORM using the appropriate leading coefficient and multiplicities for each root. (input your answer using f(x)= )

Question 15
15.

Given the solutions set (which include the multiplicities): {-2, -2, 5, 6, 6, 6} with the sign of it's leading coefficient positive, write the equation of this polynomial in factored form. (use f(x)= in your answer)

Question 16
16.

Question 17
17.

Write the equation in FACTORED FORM of the function graphed above. (use f(x)= in your answer)

Question 18
18.

Factor completely.

Question 19
19.

Factor completely.

Question 20
20.

Factor completely.

Question 21
21.

Factor completely.

Question 22
22.

Solve. Input your answer in set notation with complex numbers at the back of the set using { }. No spaces.

Question 23
23.

Question 24
24.

Solve. Input your answer in set notation with complex numbers at the back of the set. No spaces.

Question 25
25.

Solve. Input your answer in set notation with complex numbers at the back of the set. No spaces.

Question 26
26.

upload your pages of work here--page 1

Question 27
27.

upload your pages of work here--page 2

Question 28
28.

upload your pages of work here--page 3

Question 29
29.

upload your pages of work here--page 4

What describes the degree of this polynomial?
quadratic
cubic
quartic
quintic
Which of the following graphs could be a function of the form:
Given your answer from the previous question, which describes the number and type of roots of the equation:
4 real
4 imaginary
3 real and 1 imaginary
2 real and 2 imaginary