WHODUNNIT?! Review on Evaluating Expressions with Integers
star
star
star
star
star
Last updated about 3 years ago
12 questions
Use order of operations to evaluate the following expressions. Be sure to have your integer rule poster out. Once you finish, you can go to a spot on the wall to solve the mystery with your answers!
Required
1 point
1
Question 1
1.
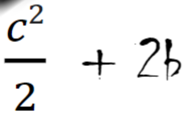
Use order of operations to evaluate when a = -1, b = -4, and c = -8.
Required
1 point
1
Question 2
2.
Use order of operations to evaluate when a = -1, b = -4, and c = -8.
Required
1 point
1
Question 3
3.
Use order of operations to evaluate when a = -1, b = -4, and c = -8.
Required
1 point
1
Question 4
4.
Use order of operations to evaluate when a = -1, b = -4, and c = -8.
Required
1 point
1
Question 5
5.
Use order of operations to evaluate when a = -1, b = -4, and c = -8.
Required
1 point
1
Question 6
6.
Use order of operations to evaluate when a = -1, b = -4, and c = -8.
Required
1 point
1
Question 7
7.
Use order of operations to evaluate when a = -1, b = -4, and c = -8.
Required
1 point
1
Question 8
8.
Use order of operations to evaluate when a = -1, b = -4, and c = -8.
Required
1 point
1
Question 9
9.
Use order of operations to evaluate when a = -1, b = -4, and c = -8.
Required
1 point
1
Question 10
10.
Use order of operations to evaluate when a = -1, b = -4, and c = -8.
Required
1 point
1
Question 11
11.
Use order of operations to evaluate when a = -1, b = -4, and c = -8.
Required
1 point
1
Question 12
12.
Use order of operations to evaluate when a = -1, b = -4, and c = -8.