Log in
Sign up for FREE
arrow_back
Library

AP Biology Benchmark #7 Enzymes & ATP

star
star
star
star
star
Last updated 3 months ago
19 questions
1
1
1
1
2
Question 1
1.

Which of the following statements describes a common characteristic of catabolic pathways?

Question 2
2.

What environmental condition typically increases the rate of enzyme activity?

Question 3
3.

When ATP releases some energy, it also releases inorganic phosphate. What happens to the inorganic phosphate in the cell?

1
Question 4
4.

Which of the following is the most correct interpretation of the figure?

1
Question 6
6.

Which of the following statements describes a key component of the induced fit hypothesis of enzyme catalysis?

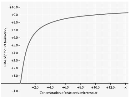
Use the following information to answer questions #

Rate of an enzyme-catalyzed reaction as a function of varying reactant concentration, with the concentration of enzyme constant.
1
Question 7
7.

For the enzyme-catalyzed reaction shown in the figure, if the initial reactant concentration is 1.0 micromolar, which of these treatments will cause the greatest increase in the rate of the reaction?

Use the following information to answer the question below.



Activity of various enzymes at various temperatures (a) and at various pH (b)
1
Question 8
8.

A series of enzymes catalyze the reactions in the metabolic pathway X → Y → Z → A. Product A binds to the enzyme that converts X to Y at a position remote from its active site. This binding decreases the activity of the enzyme.
1
Question 9
9.

With respect to the enzyme that converts X to Y, substance A functions as ________.

1
In a metabolic pathway, succinate dehydrogenase catalyzes the conversion of succinate to fumarate. The reaction is inhibited by malonic acid, a substance that resembles succinate but cannot be acted upon by succinate dehydrogenase. Increasing the amount of succinate molecules to those of malonic acid reduces the inhibitory effect of malonic acid.
1
Question 11
11.

1


This is a model of a metabolic pathway involving molecules 1 - 6 and enzymes A - E.
4
Question 13
13.

Describe what is occurring in the red box (outlined not shaded box) and explain its role in this metabolic pathway.

4
Question 14
14.

Imagine a medical condition that denatured Enzyme C. Predict how that would affect the concentrations of molecule 1 and molecule 2, if this were a closed system. Explain your answers for each.

3
Question 15
15.

This model demonstrates feedback inhibition of an anabolic pathway. With that in mind, explain how ATP might be involved in feedback inhibition of a catabolic pathway. Explain your answer.

This is a graph of an enzyme mediated reaction.
7
Question 16
16.

Explain the molecular events occurring at EACH stage of this reaction profile. Be clear about how the events of each stage are different from the other. Use appropriate vocabulary.

1
Question 17
17.

Assume that the graphed reaction is occurring at optimal temperature and pH. Describe how the graph would change if the pH were to change.

4
Question 18
18.

Explain your previous answer detailing specific, physical changes to the participants of the reaction and describing the results of these changes.

Question 19
19.

Some people argue that biochemical pathways are too complex to have evolved because all intermediate steps in a given pathway must be present to produce the final product. Critique this argument.

ADP + Pi are a set of molecules that store energy for catabolism.
Energy from catabolism can be used directly for performing cellular work.
Pi acts as a shuttle molecule to move energy from ATP to ADP.
ATP is a molecule that acts as an intermediary to store energy for cellular work.
Question 5
5.

How do cells use the ATP cycle illustrated in the figure?

doubling the enzyme concentration
cooling the reaction by 10°C
doubling the activation energy needed
increasing the concentration of reactants to 10.0 micromolar, while reducing the concentration of enzyme by 1/2
Which temperature and pH profile curves on the graphs are most likely associated with an enzyme isolated from a human stomach where conditions are strongly acid?
curves 3 and 4
curves 2 and 4
curves 1 and 4
curves 1 and 5
the substrate
an intermediate
a competitive inhibitor
an allosteric inhibitor
Question 10
10.

What is substance X?

Select the correct identification of the molecules described in the reaction.
Succinate dehydrogenase is the enzyme, and malonic acid is the substrate in the reaction.
Succinate is the substrate, and fumarate is the product in the reaction.
Succinate dehydrogenase is the enzyme, and fumarate is the substrate in the reaction.
Fumarate is the product, and malonic acid is a noncompetitive inhibitor in the reaction.
Question 12
12.

What role does malonic acid play with respect to succinate dehydrogenase?