Log in
Sign up for FREE
arrow_back
Library

AP Biology Benchmark #4 Chemistry of Life

star
star
star
star
star
Last updated 3 months ago
22 questions
Note from the author:
1
1
1
1
1
1
1
1
1
1
1
1
1
1
1
3
NGSS HS-LS1-2, 3
DCI- LS1-A
NGSS HS-LS1-2, 3
DCI- LS1-A
Question 1
1.

Question 2
2.

Question 3
3.

Question 4
4.

Question 5
5.

Question 6
6.

Question 7
7.

Question 8
8.

Question 9
9.

Question 10
10.

Question 11
11.

Question 12
12.

Question 13
13.

Question 14
14.

Question 15
15.

CCC: Structure & Function

In 2006, Roger Kornberg was awarded the Nobel Prize in Chemistry for using the X-ray crystallography to determine the 3-D shape of RNA polymerase II protein, which binds to the DNA double helix and synthesizes RNA.


Results: Using data from X-ray diffraction patterns, as well as amino acid sequence determined by chemical methods, researches built a 3-D model of the complex with the help of computer software.


Conclusion: Analysis of the model led to a hypothesis about the functions of different regions of RNA polymerase II protein.
1
1
2
Question 19
19.

Given that the function of egg yolk is to nourish and support the developing chick, specifically explain why egg yolks are so high in fat, protein, and cholesterol.

This diagram shows a protein embedded in the phospholipid bilayer of the membrane. Portions of the protein extend into the extracellular and cytoplasmic sides of the membrane.


1
1
3
Question 22
22.

After a cow is given antibiotics to treat a bacterial infection, a vet gives the animal a drink of 'gut culture' containing various prokaryotes. Why is this necessary? Use evidence from the diagram to explain.

To act as an effective coolant in a car's radiator, a substance has to have the capacity to absorb a great deal of heat. You have a reference book with tables listing the physical properties of many liquids. In choosing a coolant for your car, which table would you check first?
pH
heat of vaporization
density at room temperature
specific heat
Use the following fisgure to answer the question.



Based on your knowledge of the polarity of water molecules, the solute molecule 'A' depicted is most likely ________.
nonpolar
without charge
positively charged
negatively charged
If each of the water molecules in the diagram had all of its potential hydrogen bonding sites filled, like the water molecule in the center of the diagram, what would be the total number of water molecules represented?
20
17
5
8
The water molecules in the diagram are attracted to the cell walls of water-conducting cells by adhesion due to hydrogen bonds. What conclusion is supported by this information?
Cell walls of plants contain molecular grooves that physically hold the water molecule.
Cell walls of plants are formed from the products of photosynthesis.
Cell walls of plants are composed of non-polar molecules.
Cell walls of plants contain oxygen and/or nitrogen and are therefore polar.
Hydrophobic substances such as vegetable oil are _____.
polar substances that repel water molecules
polar substances that have an affinity for water
nonpolar substances that repel water molecules
nonpolar substances that have an attraction for water molecules
A compound contains carboxyl groups (COOH) as its predominant functional group. Which of the following statements is true concerning this compound?
It lacks an asymmetric carbon, and it is probably a fat or lipid.
It should dissolve in water.
It should dissolve in a nonpolar solvent.
It won't form hydrogen bonds with water.
It is hydrophobic.
Use the following figure to answer the question.



The molecule illustrated in the figure ________.
is a carbohydrate
will be liquid at room temperature
is a saturated fatty acid
stores genetic information
Which molecule has both hydrophilic and hydrophobic properties and is found in plasma membranes?
5
12
14
1
A new organism is discovered in the forests of Costa Rica. Scientists there determine that the polypeptide sequence of hemoglobin from the new organism has 72 amino acid differences from humans, 65 differences from a gibbon, 49 differences from a rat, and 5 differences from a frog. These data suggest that the new organism is more closely related to _____.
gibbons than to rats
humans than to frogs
frogs than to humans
rats than to frogs
The structural level of a protein least affected by a disruption in hydrogen bonding is the
All structural levels are equally affected.
tertiary level
primary level.
quaternary level.
secondary level.
You disrupt all hydrogen bonds in a protein. What level of structure will be preserved?
primary structuretertiary structurequaternary structure
primary structure
secondary structure
tertiary structure
quaternary structure
Cooking oil and gasoline (a hydrocarbon) have no affinity for water because they _____.
do not have a polar or charged region
do not have a nonpolar region
have hydrophobic and hydrophilic regions
are highly reduced molecules
Humans can digest starch but not cellulose because ________.
starch monomers are joined by covalent bonds, and cellulose monomers are joined by ionic bonds
Starch is softer than cellulose
humans have enzymes that can hydrolyze the α-glycosidic linkages of starch but not the β-glycosidic linkages of cellulose
the monomer of starch is glucose, while the monomer of cellulose is galactose
Enzymes that break down DNA catalyze the hydrolysis of the covalent bonds that join nucleotides together, as opposed to separating hydrogen bonds. What would happen to DNA molecules treated with these enzymes?
The pyrimidines would be separated from the deoxyribose sugars.
All bases would be separated from the deoxyribose sugars.
The two strands of the double helix would separate.
The purines would be separated from the deoxyribose sugars.
The phosphodiester linkages of the polynucleotide backbone would be broken.
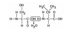
Use the following figure to answer the question.
The chemical reaction illustrated ________.
links two polymers to form a monomer
results in a peptide bond
joins two fatty acids together
is a hydrolysis reaction
Question 16
16.

Use evidence from the model to identify elements of secondary structure in the RNA polymerase II protein.

Question 17
17.

Make a claim predicting the characteristics of the amino acids located at the part of the RNA polymerase II protein that binds with DNA.

Question 18
18.

Explain the reasoning behind your claim.

Question 20
20.

Which characteristic best describe the side chains in the part of the protein in contact with the phospholipid tails of the membrane?

Question 21
21.

Predict what would happen if the side chains that are in contact with the phosopholipid tails of the membrane were to be replaced with the amino acids serine and threonine.