01/11 HOMEWORK - Multiplying and Dividing Rational Expressions
star
star
star
star
star
Last updated over 2 years ago
9 questions
1
If possible, simplify the rational expression.
If possible, simplify the rational expression.
1
If possible, simplify the rational expression.
If possible, simplify the rational expression.
1
If possible, simplify the rational expression.
If possible, simplify the rational expression.
1
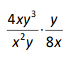
Perform the indicated operations. Simplify the results.
Perform the indicated operations. Simplify the results.
1
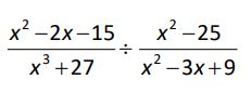
Perform the indicated operations. Simplify the results.
Perform the indicated operations. Simplify the results.
1
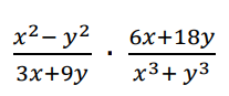
Perform the indicated operations. Simplify the results.
Perform the indicated operations. Simplify the results.
1
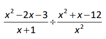
Perform the indicated operations. Simplify the results.
Perform the indicated operations. Simplify the results.
1
Perform the indicated operations. Simplify the results.
Perform the indicated operations. Simplify the results.
1
Perform the indicated operations. Simplify the results.
Perform the indicated operations. Simplify the results.