Log in
Sign up for FREE
arrow_back
Library
11/3/2022-Warm Up
By Melanie S Boyd
star
star
star
star
star
Share
share
Last updated almost 3 years ago
14 questions
Add this activity
1
1
1
1
1
1
1
Question 1
1.
visibility
View drawing
Question 2
2.
Given:
What is the VA?
visibility
View drawing
Question 3
3.
Given:
What is the HA?
visibility
View drawing
Question 4
4.
Given:
What is the domain? Just enter the number (not the set notation)
visibility
View drawing
Question 5
5.
Given:
What is the range? Just enter the number (not the set notation)
visibility
View drawing
Question 6
6.
Given:
What is the end behavior?
(just type the answer for the ? in the blank)
visibility
View drawing
Question 7
7.
Given:
What is the end behavior?
(just type the answer for the ? in the blank)
visibility
View drawing
8
11
13
12
14
10
9
zoom_in
1
1
1
1
1
1
1
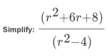
Question 8
8.
Simplify this function and type the "leftovers" in the box below (begin with f(x)= please)
visibility
View drawing
Question 9
9.
visibility
View drawing
Question 10
10.
The x-intercept of this function is: (as a point (x,y) please)
visibility
View drawing
Question 11
11.
The vertical asymptote for this function is: (if none, type none)
visibility
View drawing
Question 12
12.
The horizontal asymptote for this function is: (if none, type none)
visibility
View drawing
Question 13
13.
visibility
View drawing
Question 14
14.
If there is a hole, what are the coordinates of the hole:
visibility
View drawing
Given the function you typed in #8, the resulting graph will be a:
parabola
line
hyperbola
This function has the following discontinuity: (check all that apply)
a hole
a horizontal asymptote
a vertical asymptote