Log in
Sign up for FREE
arrow_back
Library

Unit 4&5 Retake w/ videos

star
star
star
star
star
Last updated 3 days ago
17 questions
Note from the author:
1
1
1
1
1
3
1
1
3
3
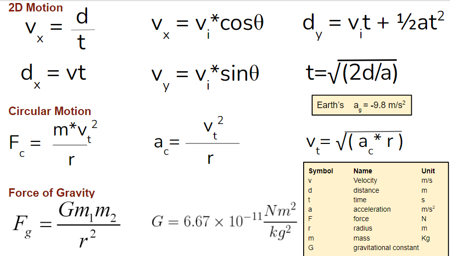
This is a retake for up to a 70%. If you would like to attempt for up to 80% you will need to come to tutorials for one single attempt at a FRQ.
1
1
1
1
Question 4
4.

What is the tangential velocity of a 700 kg car moving in a 35 m circle with an acceleration of 6.2 m/s2?

1
Question 5
5.

A penny was thrown downward at -2.4 m/s and falls under the influence of gravity for 5 s. What is the final velocity of the penny?

1
1
Question 8
8.

Question 9
9.

Question 10
10.

Question 11
11.

What is the vertical component of a ball thrown at a 27 degree angle at 16 m/s?

Question 12
12.

What is the horizontal component of a ball thrown at a 27 degree angle at 16 m/s?

Question 13
13.
A professional football player kicks a football with an initial velocity
vx= (15.0 m/s) vy= (19.0 m/s) . How long the football stays in the air is known as the hang time.


The hang time is _______ s.
The total range is _______ m.
The max height is _______ m.
Question 14
14.

A cyclist with a mass of 80 kg is riding around a circular track with a radius of 100 m, and is traveling at 6.5 m/s. What is the cyclist's centripetal acceleration?

Question 15
15.

Question 16
16.
The above soccer ball takes 3.4 seconds to land.
What is the height of the cliff?_______
What is the horizontal range?_______
What is the final vy?_______
What is the final vx?_______
Question 17
17.
What is the initial vy? _______
What is the time to fall? _______
What is the range? _______
Question 1
1.

Question 2
2.

Question 3
3.

Question 6
6.

A projectile is launched horizontally at 2.6 m/s and falls 3.1 s later. How far away did it land?

Question 7
7.

A projectile is launched horizontally at 2.6 m/s and falls 3.1 s later. What is the height it was launched from?

Where is the vy= 0 m/s?

A
B
C
D
Never
Where is the vertical a = 0 m/s2?

A
B
C
D
Never
Which angle will produce the farthest range?
0
20
45
70
How does the centripetal force change if the tangential velocity is doubled?
2x
4x
1/2
1/4
Which direction will the centripetal force point?
Up
Down
Left
Right
Which direction will the tangential velocity point?
Up
Down
Left
Right
How does increasing the radius affect the centripetal acceleration?
Increases
Decreases
Remains the same