Log in
Sign up for FREE
arrow_back
Library

[AP Calculus BC] 5.5 Linearization

star
star
star
star
star
Last updated about 2 years ago
19 questions
1
1
1
1
1
1
1
1
1
1
1
1
1
1
1
1
1
1
1
Question 1
1.

Question 2
2.

Question 3
3.


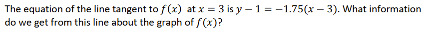
Question 4
4.

Round to 1 decimal place

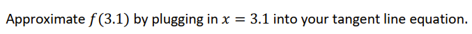
Question 5
5.

Question 6
6.

Question 7
7.

Question 8
8.

Question 9
9.

Round to 1 decimal place

Question 10
10.


Round to 1 decimal place

Question 11
11.

Round to 1 decimal place

Question 12
12.

Round to 1 decimal place

Question 13
13.

Round to the nearest Thousandths.

Question 14
14.

Sketch the graph of a function where:
1. The tangent line approximation at x=-1 is an UNDERestimate of function values near x=-1
AND
2. The tangent line approximation at x=4 is an OVERestimate of function values near x=4

Question 15
15.

Let ℎ be a differentiable function such that ℎ(4) = 3 and ℎ′(4) = -2. If the tangent line to ℎ(𝑥) at 𝑥 = 4 is used to approximate the zeros of ℎ(𝑥), then the approximation is equal to:

Question 16
16.

Round to 1 decimal place

Question 17
17.

Round to 1 decimal place

Question 18
18.

Round to 1 decimal place

Question 19
19.

Round to 1 decimal place