Log in
Sign up for FREE
arrow_back
Library

12/1/2022-Unit 5 Test--Radical Functions

star
star
star
star
star
Last updated over 2 years ago
32 questions
4
3
3
3
4
3
3
3
2
3
4
4
3
3

DESMOS:https://www.desmos.com/testing/virginia/scientific

Question 1
1.

Solve:
Express your answer with x= (use a comma between solutions, no spaces)

Given:
5
Question 2
2.

Solve this. Express your answer with x= (use a comma between solutions if necessary, no spaces)

3
Question 3
3.

Based on your solution to the last question, give the extraneous solution to above equation. If none, type none. Express your answer with x= (use a comma between solutions, no spaces)

Question 4
4.

What is the inverse of:

Express your answer with

Question 5
5.

The graph of the function g is shown below:
Which of the following graphs best represents the inverse of g?

3
Question 6
6.

Write the equation of the resulting function. Use
in your answer

3
4
Question 8
8.

Identify the following

  • (-1, 0)
  • (0, -1)
  • (3, 0)
  • (-1, -2)
  • (0, 3)
  • x-intercepts
  • y-intercepts
3
Question 9
9.

What is the increasing interval of this function? (if none, type none)

3
Question 10
10.

What is the decreasing interval of this function? (if none, type none)

3
Question 11
11.

What is the domain for the function at left?

(use set notation { } ...no spaces)

3
Question 12
12.

What is the range for the function at left?

(use set notation { } ...no spaces)

3
Question 14
14.

Given:
Simplify. Express your answer in simplest radical form.

Question 15
15.

Given:
Simplify. Express your answer in simplest radical form.

Question 16
16.

Given:
Give the equivalent of this expression using fractional exponents.

Question 17
17.

Given:
Simplify. Give your answer in simplest radical form

Question 18
18.

Given:
Simplify. Give your answer in simplest radical form.

Question 19
19.

Given:
Simplify. Give your answer in simplest radical form.

Question 20
20.

Given:
Simplify. Give your answer in simplest radical form.

Question 21
21.

Given:
Simplify. Give your answer in simplest radical form.

Question 22
22.

Given:
Simplify. Give your answer in simplest radical form.

Question 23
23.

Given:
Simplify. Give your answer in simplest radical form.

Question 24
24.

Given:
Simplify. Give your answer in simplest radical form.

3
Question 25
25.

Given:

Find:

3
3
3
2
3
Question 30
30.

Given:

Find:

3
Question 31
31.

Given:

Find:

2
Question 7
7.

Which graph below represents the resulting function after the transformation:

Question 13
13.

What is the end behavior:

Question 26
26.

Given:

Find:

Question 27
27.

Given:

Find:

Question 28
28.

Given:

Find:

Question 29
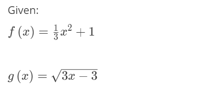
29.

Given:

Are these functions inverses of each other?

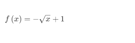
Question 32
32.

Given:

Are these functions inverses of each other?