Log in
Sign up for FREE
arrow_back
Library
Practice: Quadratic Equation Word Problems
By Theresa Joseph
star
star
star
star
star
Share
share
Last updated over 2 years ago
12 questions
Add this activity
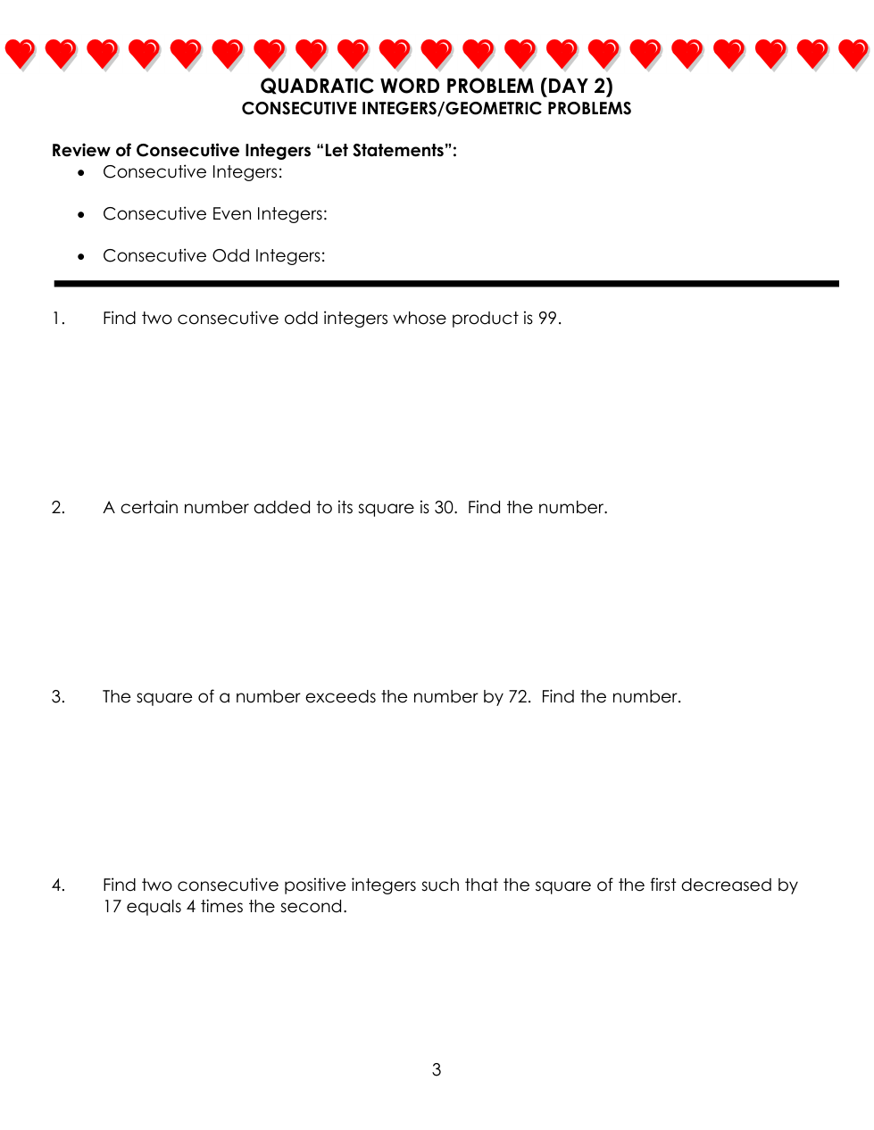
1
2
3
4
zoom_in
1 point
1
Question 1
1.
1 point
1
Question 2
2.
1 point
1
Question 3
3.
1 point
1
Question 4
4.
5
6
7
8
zoom_in
1 point
1
Question 5
5.
1 point
1
Question 6
6.
1 point
1
Question 7
7.
1 point
1
Question 8
8.
9
10
11
12
zoom_in
1 point
1
Question 9
9.
1 point
1
Question 10
10.
1 point
1
Question 11
11.
1 point
1
Question 12
12.