Log in
Sign up for FREE
arrow_back
Library

5.1 Assignment: Solving Systems of Equations through Graphing

star
star
star
star
star
Last updated over 3 years ago
13 questions
Note from the author:
Required
0
Required
0
Required
0
10
AI.9.3.F
10
AI.9.3.F
Required
10
AI.9.3.F
Required
10
AI.9.3.H
Required
10
AI.9.2.I
Required
10
AI.9.2.I
Required
10
AI.9.3.G
Required
10
AI.9.3.G
Required
10
AI.9.3.G
Required
10
AI.9.2.I
Texas Teks: 3.I , 3.F, & 3.G
Question 1
1.

First Name

Question 2
2.

Last Name

Question 3
3.

School ID

Question 4
4.

Question 5
5.

Question 6
6.

Question 7
7.

What is the solution to the system of equations graphed below? (provide the ordered pair, do not include spaces)

Question 8
8.

Type out the equation for the dotted, purple line in the system of equations graphed below. (answer in slope intercept form, do not include spaces)

Question 9
9.

Question 10
10.

Question 11
11.

Question 12
12.

Question 13
13.

Which graph best represents this system of equations and its solution?
Answer not listed
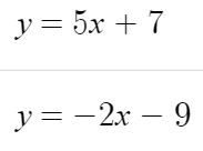
What is the solution to this system of equations?
(2,0)
(0,-9)
(-3,3)
(3, -3)
Answer not listed
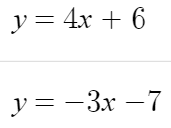
Which system of Equations is represented by the graph?
Answer not listed
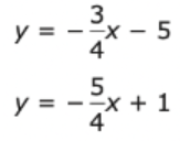
What is the equation for solid, black line in the graph of a system of equations represented below?
Answer not listed
The graph below shows the distance from Dallas of two cars over a four hour period. Car A is driving toward Dallas, and Car B is driving away from Dallas.
Based on the graph, how far from Dallas will the two cars be when they are the same distance from the city?
30 Miles
2 Hours
1 hour
Answer not listed
20 Miles
The graph below shows the distance from Dallas of two cars over a four hour period. Car A is driving toward Dallas, and Car B is driving away from Dallas.
Based on the graph, how long will it be until the two cars are the same distance from the city?
1 hour
30 Miles
Answer not listed
3 Hours
20 Miles
Rent-a-wreck charges a fee of $50 to rent a car plus $0.20 per mile driven. Demanding-Autos charges a fee of $25 to rent a car plus $1.50 per mile driven.

Which graph best represents the system of equations that could be represented by the two rental agencies?
Answer not listed
A system of linear equations is represented by line h and line j. A table representing some points on line h and the graph of line j are shown.

Which system of equations is best represented by lines h and j?
Answer not listed