Maths Workshop 05 - End of Workshop Quiz
star
star
star
star
star
Last updated almost 3 years ago
20 questions

Required
1
Write down the square numbers.
Write down the square numbers.

Required
1
Write down the cube numbers
Write down the cube numbers

Required
2
Write down each answer.
Write down each answer.

Required
2
Write down each answer.
Write down each answer.

Required
1
Work out (a)
Work out (a)
Required
1
Work out (B)
Work out (B)

Required
1
Insert brackets to make the calculation correct.
Insert brackets to make the calculation correct.

Required
1
Calculate (a)
Calculate (a)
Required
1
Calculate (b)
Calculate (b)
Required
1
Calculate (c)
Calculate (c)

Required
1
Calculate (a)
Calculate (a)
Required
1
Calculate (b)
Calculate (b)
Required
1
Calculate (c)
Calculate (c)
Required
1
Calculate (d)
Calculate (d)

Required
1
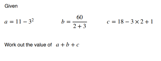
a =
a =
Required
1
b =
b =
Required
1
c =
c =

Required
1
Explain why Taniya is wrong.
Explain why Taniya is wrong.

Required
1
Calculate 'C'
Calculate 'C'

Required
1
Calculate the total cost for 150 texts and 50 minutes of call time. Give your answer in pounds.
Calculate the total cost for 150 texts and 50 minutes of call time. Give your answer in pounds.