Log in
Sign up for FREE
arrow_back
Library
Warm Up 30 Similar Figures A Day
By Kala Bridgers
star
star
star
star
star
Share
share
Last updated almost 3 years ago
3 questions
Add this activity
1
1
1
Question 1
1.
Figure ABCDE is similar to figure LMNOP. Find x.
6
9
24.14
2.72
Question 2
2.
What must the value of x be in order for the figures below to be similar?
7.8 in
8.7 in
2.5 in
6.9 in
Question 3
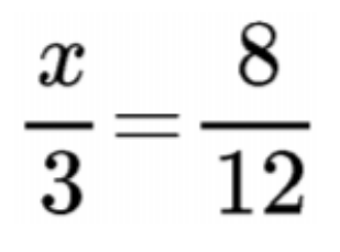
3.
Solve for x.
x=2
x=12
x=4.5
x=32